What is Leibniz's rule and how is it used to differentiate an integral?

Click For Summary
SUMMARY

Leibniz's rule is a differentiation technique used to differentiate an integral with variable limits. It states that the derivative of an integral can be expressed as a combination of the derivatives of the limits and the integrand. Specifically, the formula is given by: \(\frac{\partial}{\partial a}\left(\int_{f(a,s)}^{g(a,s)} \phi(a,s,x)dx\right) = \frac{\partial g}{\partial a}\phi(a,s,g(a,s)) - \frac{\partial f}{\partial a}\phi(a,s,f(a,s)) + \int_{f(a,s)}^{g(a,s)} \frac{\partial \phi(a,s,x)}{\partial a} dx\). This rule extends the fundamental theorem of calculus and incorporates the chain rule to manage variable limits of integration.

PREREQUISITES
  • Understanding of integrals and derivatives in calculus
  • Familiarity with the fundamental theorem of calculus
  • Knowledge of the chain rule in differentiation
  • Basic proficiency in mathematical notation and functions
NEXT STEPS
  • Study the fundamental theorem of calculus in detail
  • Explore applications of Leibniz's rule in various mathematical contexts
  • Learn about variable limits of integration and their implications
  • Practice problems involving differentiation of integrals using Leibniz's rule
USEFUL FOR

Students of calculus, mathematicians, and anyone interested in advanced differentiation techniques, particularly those working with integrals that have variable limits.

norak
Messages
2
Reaction score
0
Hi, everyone, I'm new here and don't know how to type mathematics, but I have a scanner.

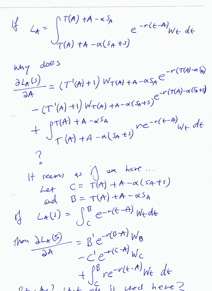
suranovic.png


I have a function L_A and it is an integral. I want to differentiate this function with respect to A. I already have the answer written but what I don't know is how it was obtained.

Just by looking at the answer I can sort of see some sort of pattern, and I have written what I think is some sort of rule on the second half of this page, but I still don't really know what kind of differentiation rule is used here, so if any smart people here know it would greatly help me thanks!
 
Physics news on Phys.org
If you first perform the whole integration, then differentiating. I.e. get an explicit expression for L_A.
What do you get then? Have you tried that?
 
In general, Leibniz's rule, an extension of the fundamental theorem of calculus, says:
[tex]\frac{\partial left(\int_{f(a,s)}^{g(a,s)} \phi(a,s,x)dx\right)}{\partial a}= \frac{\partial g}{\partial a}\phi(a,s,f(a,s))- \frac{\partial f}{\partial a}\phi(a,s,g(a,s))+ \int_{f(a,s)}^{g(a,s)} \frac{\partial \phi(a,s,x)}{da} dx[/tex]
just the form you give. It can be derived using the fundamental theorem of calculus together with the chain rule to handle the variable limits of integration.
 

Similar threads

Replies
10
Views
2K
  • · Replies 3 ·
Replies
3
Views
2K
  • · Replies 0 ·
Replies
0
Views
2K
Replies
10
Views
2K
  • · Replies 5 ·
Replies
5
Views
2K
  • · Replies 4 ·
Replies
4
Views
2K
  • · Replies 1 ·
Replies
1
Views
1K
Replies
9
Views
2K
  • · Replies 1 ·
Replies
1
Views
2K