What is the configuration (R or S) of these molecules?

Click For Summary

Discussion Overview

The discussion revolves around determining the configuration (R or S) of specific molecules, focusing on the assignment of priorities to substituents around stereocenters. It includes technical reasoning and clarification of concepts related to stereochemistry.

Discussion Character

  • Technical explanation
  • Conceptual clarification
  • Debate/contested

Main Points Raised

  • Some participants assert that the first molecule is R and the second is S, seeking explanations for these assignments.
  • One participant acknowledges a mistake in assigning priority to substituents in the first molecule, suggesting that COOH was incorrectly prioritized over NH2.
  • Another participant questions why a specific carbon is designated as S rather than R, prompting a discussion on priority assignments.
  • Several participants point out the oversight of considering another carbon atom in the priority ranking, which may affect the configuration determination.
  • There is a contention regarding whether the priority remains the same despite the presence of additional carbon atoms in the chain.
  • One participant emphasizes that a particular carbon takes precedence over hydrogen in the priority ranking.
  • A participant requests a redrawing of the molecule to clarify the priority assignments.

Areas of Agreement / Disagreement

Participants express differing views on the correct priority assignments and configurations, indicating that multiple competing perspectives remain unresolved.

Contextual Notes

Limitations include potential missing assumptions regarding the stereochemistry rules and the specific configurations of the molecules discussed, which are not fully resolved in the conversation.

sd34
Messages
9
Reaction score
0
TL;DR
Hi. Can someone tell me which molecule is R or S?

For me, the first one is S and the second one is R.
244942
 

Attachments

  • 263BF8AF-42B9-4E98-8081-D828E334D234.jpeg
    263BF8AF-42B9-4E98-8081-D828E334D234.jpeg
    11.2 KB · Views: 387
Chemistry news on Phys.org
I think the first is R and the second is S.

Can you explain how you arrived at your answers?
 
  • Like
Likes   Reactions: sd34
mjc123 said:
I think the first is R and the second is S.

Can you explain how you arrived at your answers?

Yes, it’s correct.

Basically the mistake I made was that I gave the first priority to COOH instead of NH2 in the first molecule, whereas in the second one I forgot to switch from R to S.
 
Okay, I have another doubt.

Why the carbon on the right is S and not R?

Aren’t the priorities like this?
 

Attachments

  • 1B85574F-113B-4CFB-83A4-C8EFFB9A146F.jpeg
    1B85574F-113B-4CFB-83A4-C8EFFB9A146F.jpeg
    28 KB · Views: 366
  • 97F8D43B-6C8E-4ECB-8140-18A643E7CD5E.jpeg
    97F8D43B-6C8E-4ECB-8140-18A643E7CD5E.jpeg
    31.7 KB · Views: 383
You've forgotten the other C atom on the C 2 atoms from the stereocentre on the chain you labelled 2.
 
mjc123 said:
You've forgotten the other C atom on the C 2 atoms from the stereocentre on the chain you labelled 2.

Okay, but isn’t the priority still the same?
 
No, that C trumps the H on C2 on the other chain.
 
mjc123 said:
No, that C trumps the H on C2 on the other chain.

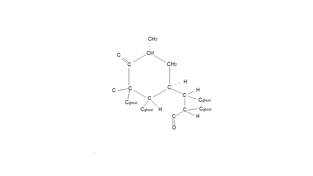
If it’s not too much of a trouble, could you redraw the molecule?
 
molecule.png
 
  • Like
Likes   Reactions: sd34
  • #10
mjc123 said:

Thanks a lot! So basically I switched no.1 and no.2 in terms of priority.
 

Similar threads

  • · Replies 4 ·
Replies
4
Views
3K
  • · Replies 2 ·
Replies
2
Views
6K
Replies
1
Views
2K
Replies
24
Views
3K
  • · Replies 2 ·
Replies
2
Views
2K
  • · Replies 3 ·
Replies
3
Views
2K
Replies
2
Views
2K
Replies
3
Views
2K
Replies
4
Views
3K
  • · Replies 34 ·
2
Replies
34
Views
5K