What Is the Connection Between Buoyancy and Apparent Mass?

Click For Summary
SUMMARY

The discussion focuses on the relationship between buoyancy and apparent mass in a physics problem involving a beaker, water, and a submerged rock. The calculations reveal that the total mass measured by the scale after immersing the rock is 4.54 kg, which includes the rock's apparent weight of 1.74 kg and the beaker's mass of 2.8 kg. The confusion arises from the interpretation of buoyant force as an additional weight affecting the scale reading. The correct understanding is that the scale measures the combined forces acting on it, including the buoyant force exerted by the water on the rock.

PREREQUISITES
  • Understanding of buoyant force and Archimedes' principle
  • Familiarity with Newton's laws of motion, particularly the third law
  • Basic knowledge of mass and weight calculations
  • Ability to perform calculations involving volume and density
NEXT STEPS
  • Study the principles of buoyancy and how they apply to submerged objects
  • Learn how to calculate apparent weight in fluid mechanics
  • Explore the relationship between mass, weight, and gravitational acceleration
  • Investigate the effects of varying fluid densities on buoyant force
USEFUL FOR

Students studying physics, particularly those focusing on fluid mechanics, as well as educators and anyone interested in understanding the principles of buoyancy and apparent mass in practical scenarios.

TkoT
Messages
7
Reaction score
2
Homework Statement
A cylindrical beaker of mass mb = 1.3 kg contains 1.5 x 10^3 ml of water. The beaker is placed on a scale and then a rock of mass mr = 2.2 kg, suspended by a massless string, is totally immersed in the water. The water level rises by 1.5 cm. The diameter of the beaker is 0.2m
a) What mass does the scale measure before the rock is lowered into the water?
b) What mass does the scale measure after the rock is lowered into the water?
Relevant Equations
F=mg
my solution:
a)
Screenshot 2023-01-05 082847.png

F(upward)=Fb +Fw
=(1.3+1.5)X9.8
=27.44N
total Mass = 2.8kg
b)
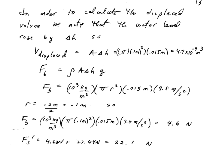
123.png

Volume increased = π(0.2/2)^2 x 1.5/100
=4.7x10-4 m^3

T+Fb =mg
T=mg-Fb
T=2.2x9.8 -1000 x 4.7x10-4 x 9.8
T=17.4N
T is the apparent weight of the rock, so the mass of the rock in the water is 1.74kg
So, the total mass measured by the scale = 1.74 +2.8 = 4.54kg

Question:
I am confused about the part b after I checked the answer. For me, I think the tension represents the apparent weight of the rock. So apparent mass of the rock can be obtained by the tension. But, In the answer, buoyant force is considered as the extra weight added to the scale. That confuses me and I don’t understand why.

answer attached below
 

Attachments

  • answer1.png
    answer1.png
    23.3 KB · Views: 125
  • answer2.png
    answer2.png
    26.7 KB · Views: 145
  • answer3.png
    answer3.png
    15.5 KB · Views: 157
Last edited:
Physics news on Phys.org
TkoT said:
Homework Statement:: A cylindrical beaker of mass mb = 1.3 kg contains 1.5 x 10^3 ml of water. The beaker is placed on a scale and then a rock of mass mr = 2.2 kg, suspended by a massless string, is totally immersed in the water. The water level rises by 1.5 cm. The diameter of the beaker is 0.2m
a) What mass does the scale measure before the rock is lowered into the water?
b) What mass does the scale measure after the rock is lowered into the water?
Relevant Equations:: F=mg

That confuses me and I don’t understand why.
Without the rock the scale reads just the weight of the water, ##m_{\text{water}}g##. When the rock is placed under water, the water exerts buoyant force BF up. By Newton's 3rd law, the rock exerts force BF down on the water. The scale reads the sum of the two because it must exert normal force ##N=BF+m_{\text{water}}g## up to keep the water from accelerating.
 
  • Like
Likes   Reactions: TkoT
You seem to be using 9.8m/s2 for g in some places and 10m/s2 in others.
 

Similar threads

  • · Replies 7 ·
Replies
7
Views
7K
  • · Replies 11 ·
Replies
11
Views
4K
Replies
6
Views
6K
Replies
1
Views
2K
  • · Replies 5 ·
Replies
5
Views
2K
Replies
3
Views
2K
Replies
6
Views
3K
  • · Replies 9 ·
Replies
9
Views
2K
  • · Replies 7 ·
Replies
7
Views
4K
  • · Replies 8 ·
Replies
8
Views
5K