What is the Fourier transform of sin(x) with non-zero terms?

Click For Summary

Homework Help Overview

The discussion revolves around the Fourier transform of the sine function, specifically addressing the complexities that arise when considering non-zero terms. Participants are examining the implications of using complex exponentials in the transformation process.

Discussion Character

  • Conceptual clarification, Assumption checking, Mathematical reasoning

Approaches and Questions Raised

  • Participants are questioning the correctness of the transformation involving complex numbers and are suggesting alternative representations of the sine function. There are discussions about the implications of errors in integration, particularly for specific values of k.

Discussion Status

The discussion is active, with participants exploring various interpretations of the transformation and its components. Some have pointed out potential errors in the integration process, while others are seeking clarification on the implications of these errors.

Contextual Notes

There seems to be a focus on the correctness of the primitive function for specific values of k, particularly k = 1, and how this affects the overall transformation. Participants are also addressing the role of real and imaginary parts in the context of the Fourier transform.

lys04
Messages
144
Reaction score
5
Homework Statement
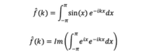
Why is what I'm doing here not correct? (Because last line seems to give me 0) Could someone point me in the right direction please.
Relevant Equations
Fourier transform
1729514023111.png
 
Physics news on Phys.org
1729516645362.png


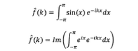
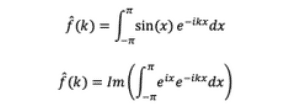
This transformation seems incorrect because ##e^{-ikx}## is a complex number. How about checking it by substitution of [tex]\sin x = \frac{e^{ix}-e^{-ix}}{2i}[/tex]
 
Last edited:
anuttarasammyak said:
View attachment 352508

This transformation seems incorrect because ##e^{-ikx}## is a complex number. How about checking it by substitution of [tex]\sin x = \frac{e^{ix}-e^{-ix}}{2i}[/tex]
Indeed, but more importantly it should also be realised that the primitive function is incorrect for ##k = 1##.
 
anuttarasammyak said:
This transformation seems incorrect because e−ikx is a complex number
Ohh alright yeah that makes sense. Ty!
 
Orodruin said:
Indeed, but more importantly it should also be realised that the primitive function is incorrect for k=1.
What does this mean?
 
lys04 said:
What does this mean?
That your integration is wrong when k = 1.
 
  • Like
Likes   Reactions: lys04
Orodruin said:
That your integration is wrong when k = 1.
It's gonna be wrong for all k s.t e_-ikx has a real part?
 
lys04 said:
It's gonna be wrong for all k s.t e_-ikx has a real part?
You are misunderstanding my comment. I said that apart from the fact pointed out by @anuttarasammyak in post #2, the integral is also wrong for ##k = 1##. This will be crucial to correct also when you have corrected the imaginary part error.
Orodruin said:
Indeed, but more importantly it should also be realised that the primitive function is incorrect for ##k = 1##.
(my emphasis)
 
Oh, and on top of that, the last line is not equal to zero either. The sine terms have the same sign.
 

Similar threads

  • · Replies 5 ·
Replies
5
Views
2K
Replies
1
Views
3K
  • · Replies 6 ·
Replies
6
Views
2K
Replies
8
Views
2K
  • · Replies 23 ·
Replies
23
Views
3K
  • · Replies 6 ·
Replies
6
Views
2K
  • · Replies 2 ·
Replies
2
Views
3K
  • · Replies 6 ·
Replies
6
Views
4K
Replies
3
Views
2K
  • · Replies 1 ·
Replies
1
Views
2K