What is the joy of lifelong learning in math?

  • Context: MHB 
  • Thread starter Thread starter mathdad
  • Start date Start date
Click For Summary

Discussion Overview

The discussion centers around the personal joy and passion for lifelong learning in mathematics, reflecting on individual experiences and motivations for studying math outside of formal education. Participants share their feelings about math as a hobby and the societal perceptions surrounding it.

Discussion Character

  • Exploratory
  • Conceptual clarification
  • Debate/contested

Main Points Raised

  • Some participants express their enjoyment of math as a lifelong hobby, emphasizing that they continue to study for personal fulfillment rather than academic requirements.
  • One participant mentions the societal perception of pursuing math at an older age, suggesting that others may view it as unusual or eccentric.
  • There is a discussion about the preference for presenting answers in fraction form versus decimal form, with a suggestion that math values exactness more than physics.
  • Participants share personal anecdotes about their dedication to math, including humorous reflections on their age and the volume of math textbooks they possess.

Areas of Agreement / Disagreement

Participants generally agree on the joy of studying math as a personal passion, but there are differing views on how society perceives this pursuit, particularly at an older age. The discussion remains unresolved regarding the societal implications of being passionate about math as a hobby.

Contextual Notes

Some statements reflect personal feelings and societal perceptions that may not be universally applicable. The discussion includes subjective experiences that may vary widely among individuals.

mathdad
Messages
1,280
Reaction score
0
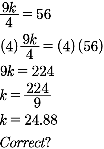
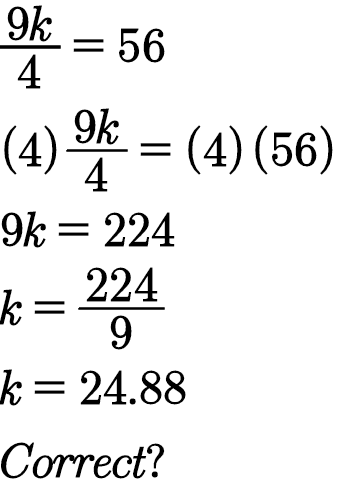
See picture.

View attachment 7355

Is my work correct?
 

Attachments

  • MathMagic171010_1.png
    MathMagic171010_1.png
    6.3 KB · Views: 109
Last edited by a moderator:
Mathematics news on Phys.org
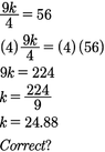
RTCNTC said:
See picture.

Is my work correct?
Yes. I'd leave it as the fraction, but do as your instructor wants it.

-Dan
 
topsquark said:
Yes. I'd leave it as the fraction, but do as your instructor wants it.

-Dan

What instructor? I am 52 years old. I love math and thus joined the MHB to revisit math learned long ago. You probably think I'm nuts but, honestly, math is my favorite hobby.
 
RTCNTC said:
What instructor? I am 52 years old. I love math and thus joined the MHB to revisit math learned long ago. You probably think I'm nuts but, honestly, math is my favorite hobby.
I've been out of school for years. They are going to have to rent a separate room at the Nursing Home to store all the textbooks I have. I'm not going to stop studying until I'm too senile to do it. I study for fun...You aren't alone!

In that case I'd recommend leaving your answer in fraction form. Math is usually about exact answers, whereas Physics tends to gravitate toward decimals.

-Dan
 
topsquark said:
I've been out of school for years. They are going to have to rent a separate room at the Nursing Home to store all the textbooks I have. I'm not going to stop studying until I'm too senile to do it. I study for fun...You aren't alone!

In that case I'd recommend leaving your answer in fraction form. Math is usually about exact answers, whereas Physics tends to gravitate toward decimals.

-Dan

I feel so much better now. Honestly, my family, my son, and friends who know about my passion for math think that psychiatry land is calling my name. Perhaps, if I got drunk, slept around with many women (nobody wants me at 52) and burned all my math books, they would call me Mr. Cool. I have bad news for them.

I plan to be burried with at least one math book but, of course, in heaven there is no need to know math for God is there ALL THE TIME. He will be my eternal joy but while in this life, learning math is a great adventure. Yes, I am a nerd, a big belly, no hair nerd but math is cool.
 

Similar threads

  • · Replies 12 ·
Replies
12
Views
4K
  • · Replies 42 ·
2
Replies
42
Views
5K
  • · Replies 4 ·
Replies
4
Views
3K
  • · Replies 13 ·
Replies
13
Views
3K
  • · Replies 2 ·
Replies
2
Views
2K
  • · Replies 5 ·
Replies
5
Views
2K
  • · Replies 44 ·
2
Replies
44
Views
5K
  • · Replies 11 ·
Replies
11
Views
3K
  • · Replies 26 ·
Replies
26
Views
5K
  • · Replies 3 ·
Replies
3
Views
3K