What is "to the first order in H"?

  • Context: Undergrad 
  • Thread starter Thread starter Haorong Wu
  • Start date Start date
  • Tags Tags
    First order
Click For Summary

Discussion Overview

The discussion centers around the phrase "to the first order in H'" as encountered in Griffiths' Quantum Mechanics textbook, specifically in the context of perturbation theory. Participants explore the implications of this expression in relation to the calculation of transition probabilities in quantum systems.

Discussion Character

  • Technical explanation
  • Debate/contested

Main Points Raised

  • Some participants explain that "to the first order in H'" means that only terms linear in the perturbation H' are retained, while higher-order terms are neglected.
  • One participant questions whether the expression involving integrals of H' should indicate second order in H', suggesting confusion about the mathematical interpretation.
  • Another participant confirms that the expression is related to perturbation theory and suggests that the coefficient c_b is expressed to first order in H'.
  • There is a discussion about the relationship between the integrals of H' and the order of perturbation, with some participants asserting that certain expressions are indeed second order in H'.
  • One participant expresses understanding after clarification, while others continue to seek clarity on the relationship between the integrals and the order of H'.

Areas of Agreement / Disagreement

Participants exhibit disagreement regarding the interpretation of certain expressions as first or second order in H'. While some clarify their understanding, others remain confused about the implications of the mathematical expressions involved.

Contextual Notes

There are unresolved questions regarding the definitions and assumptions related to the perturbation theory and the specific mathematical expressions used in the discussion.

Haorong Wu
Messages
422
Reaction score
90
I'm learning Griffiths' QM (3rd edn).

In Chapter 11 (Quantum Dynamics), there is an expression I'm not familiar with:

## \left| C_b \right|^2 = \left[ - \frac i \hbar \int_0^t H'_{ba} \left( t' \right) e^{i \omega_0 t'} \, dt' \right] \left[ \frac i \hbar \int_0^t H'_{ba} \left( t' \right) e^{-i \omega_0 t'} \, dt' \right] =0 ## (to first order in ##H'##),
where ##H'## is a time-dependent perturbation of a two-level system.

There are some other places where the expression of "to the first order in H" appears. I can't remember anywhere I have learnd the expressions in calculus or other mathematics courses.
 
  • Like
Likes   Reactions: Voidie
Physics news on Phys.org
It means that in deriving the expression, only terms of first order in ##H'## where kept, and that higher order terms (##H'^2##, ##H'^3##, etc.) have been dropped.
 
DrClaude said:
It means that in deriving the expression, only terms of first order in ##H'## where kept, and that higher order terms (##H'^2##, ##H'^3##, etc.) have been dropped.
Hi, DrClaude. I'm still confused. Shouldn't ##\left[ \int H'_{ba} \left( t' \right) \cdot \int H'_{ba} \left( t' \right) \right]## mean second order in ##H'##?
 
I only have the 2nd ed. of Griffiths, so I can't check, but this looks like perturbation theory, so it would be ##c_b## that is expressed to 1st order in ##H'##.
 
DrClaude said:
I only have the 2nd ed. of Griffiths, so I can't check, but this looks like perturbation theory, so it would be ##c_b## that is expressed to 1st order in ##H'##.

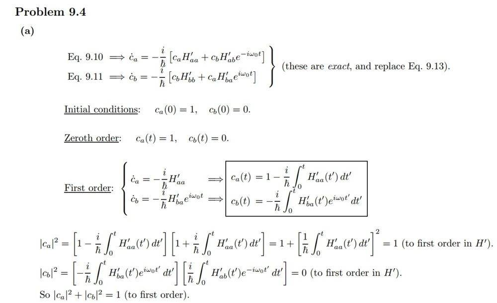
Yes, it is the perturbation theory. Well, the expression is from the solutions of the 2nd edn. The problem is 9.4.

Here is the solution.
9.4.jpg


Would you mind look at it in your freetime?

Thank you so much!
 
I get it now. It is ##|c_b|^2 = 0## to first order in ##H'##.
 
DrClaude said:
I get it now. It is ##|c_b|^2 = 0## to first order in ##H'##.
I'm sorry I still can not see how can it be first order in ##H'##. How does ##\left[ \int H'_{ba} \left( t' \right) \cdot \int H'_{ba} \left( t' \right) \right] ## relate to the first order in ## H'##?

Wait, is it because ##\left| H' \right| =H_{aa} H_{bb} -H_{ab} H_{ba}## and here ## H_{aa}=H_{bb}=0 ##?
 
Haorong Wu said:
I'm sorry I still can not see how can it be first order in ##H'##. How does ##\left[ \int H'_{ba} \left( t' \right) \cdot \int H'_{ba} \left( t' \right) \right] ## relate to the first order in ## H'##?

Wait, is it because ##\left| H' \right| =H_{aa} H_{bb} -H_{ab} H_{ba}## and here ## H_{aa}=H_{bb}=0 ##?
No. As you noticed yourself
Haorong Wu said:
Shouldn't ##\left[ \int H'_{ba} \left( t' \right) \cdot \int H'_{ba} \left( t' \right) \right]## mean second order in ##H'##?
This expression is 2nd order in ##H'##, therefore, to first order, ##|c_b|^2 = 0##.
 
DrClaude said:
No. As you noticed yourself

This expression is 2nd order in ##H'##, therefore, to first order, ##|c_b|^2 = 0##.

:woot:Ah...I understand it now. Thanks!
 
  • Like
Likes   Reactions: Voidie

Similar threads

  • · Replies 2 ·
Replies
2
Views
2K
  • · Replies 24 ·
Replies
24
Views
2K
  • · Replies 5 ·
Replies
5
Views
2K
  • · Replies 15 ·
Replies
15
Views
2K
  • · Replies 9 ·
Replies
9
Views
2K
  • · Replies 1 ·
Replies
1
Views
2K
  • · Replies 13 ·
Replies
13
Views
2K
  • · Replies 1 ·
Replies
1
Views
2K
  • · Replies 6 ·
Replies
6
Views
2K
  • · Replies 5 ·
Replies
5
Views
3K