What is wrong with this proof? (divergence of the harmonic series)

Click For Summary

Discussion Overview

The discussion centers around the proof of the divergence of the harmonic series, particularly examining the rigor and validity of various arguments presented in a linked document. Participants explore potential flaws and the application of mathematical concepts such as integrals and series.

Discussion Character

  • Debate/contested
  • Technical explanation
  • Mathematical reasoning

Main Points Raised

  • Some participants express concerns about the equality between summation and integral in the context of infinite series, suggesting that this equality may not hold rigorously.
  • Others propose that to establish rigor, one should demonstrate that the summation exceeds any positive number, M, possibly through comparison with an integral.
  • A participant references the use of measurable functions and Lebesgue integrals to argue that the proof can be valid under certain conditions, specifically noting that the measure of the problematic set is zero.
  • Another participant highlights the need for careful handling of the upper limit in the integral when discussing the series representation.
  • One participant mentions the Monotone Convergence Theorem, suggesting that it applies to the problem by indicating the limit of the integral of the series as n approaches infinity.

Areas of Agreement / Disagreement

Participants do not reach a consensus on the validity of the proof. There are multiple competing views regarding the rigor of the arguments presented, particularly concerning the treatment of infinite sums and integrals.

Contextual Notes

Participants note limitations related to the assumptions made about the equality of summation and integral, as well as the handling of limits in the context of the proof.

BWV
Messages
1,679
Reaction score
2,019
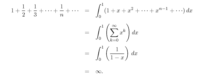
Reading this piece with a number of proofs of the divergence of the harmonic series
http://scipp.ucsc.edu/~haber/archives/physics116A10/harmapa.pdf

and this example states: 'While not completely rigorous, this proof is thought-provoking nonetheless. It may provide a good exercise for students to find possible flaws in the argument.'

upload_2019-2-21_8-14-59.png


not being any good at proofs, curious what flaws or lack of rigor there is here
 

Attachments

  • upload_2019-2-21_8-14-59.png
    upload_2019-2-21_8-14-59.png
    5.3 KB · Views: 1,184
Physics news on Phys.org
IMHO, to be rigorous, the first equality between the summation and an integral is a problem. You should not say they are equal when one (or both) are infinite. In a formal proof, you probably should show that the summation is greater than any positive number, M. You can do that by comparing the summation to the integral, but modify it to allow it to be as large as you need.
 
  • Like
Likes   Reactions: BWV and member 587159
BWV said:
Reading this piece with a number of proofs of the divergence of the harmonic series
http://scipp.ucsc.edu/~haber/archives/physics116A10/harmapa.pdf

and this example states: 'While not completely rigorous, this proof is thought-provoking nonetheless. It may provide a good exercise for students to find possible flaws in the argument.'

View attachment 239116

not being any good at proofs, curious what flaws or lack of rigor there is here

If you compare the partial sums in all cases, the equality should hold up well.
 
  • Like
Likes   Reactions: FactChecker and BWV
FactChecker said:
IMHO, to be rigorous, the first equality between the summation and an integral is a problem. You should not say they are equal when one (or both) are infinite. In a formal proof, you probably should show that the summation is greater than any positive number, M. You can do that by comparing the summation to the integral, but modify it to allow it to be as large as you need.
If ##(f_k)_{k\in \mathbb{N}}## is a sequence of measurable functions ##f_k\, : \,\Omega \longrightarrow \mathbb{C}## then
$$
\int_\Omega \sum_{k=0}^\infty |f_k| = \sum_{k=0}^\infty \int_\Omega |f_k|
$$
In our case, we have ##\Omega = [0,1]\; , \;f_k(x)=|f_k(x)|=x^k## which is measurable on ##[0,1]##, so
$$
\sum_{k\in \mathbb{N}} k^{-1} =\sum_{k\in \mathbb{N}_0} \int_{[0,1]} x^k \,dx= \int_{[0,1]} \sum_{k=0}^\infty x^k \,dx = \int_{[0,1]} \dfrac{1}{1-x} \,dx
$$
and the proof is valid. The crucial point is, that the set ##\{\,x\in [0,1]\,|\,\sum_{\mathbb{N}_0} |f_k(x)| = \infty \,\} = \{\,1\,\}## is of measure zero. So if we read the integral as Lebesgue integral we're fine.
 
  • Like
Likes   Reactions: member 587159, Auto-Didact, QuantumQuest and 3 others
Cool, thanks for the responses
 
  • Like
Likes   Reactions: berkeman
Things are a little hairy at the end point of the integral. ##\sum_{k=0}^\infty x^k=\frac{1}{1-x}## for ##|x|\lt 1##. You need to handle the upper limit carefully.
 
Monotone Convergence theorem (adapted to this problem) says that if/since {##\Sigma x^n ##} is a pointwise increasing sequence of measurable (since continuous; partial sums are continuous in x) functions :

##Lim_{n \rightarrow \infty}\int \Sigma x^n = \int Lim_{n \rightarrow \infty} \Sigma x^n=
\int \frac {1}{1-x} ##
 
Last edited:

Similar threads

  • · Replies 48 ·
2
Replies
48
Views
5K
  • · Replies 13 ·
Replies
13
Views
5K
  • · Replies 4 ·
Replies
4
Views
4K
  • · Replies 2 ·
Replies
2
Views
5K
  • · Replies 10 ·
Replies
10
Views
3K
  • · Replies 5 ·
Replies
5
Views
2K
  • · Replies 7 ·
Replies
7
Views
2K
  • · Replies 4 ·
Replies
4
Views
3K
Replies
2
Views
1K
  • · Replies 6 ·
Replies
6
Views
2K