Where Do I Start? Deriving Equations of Motion

  • Context: Undergrad 
  • Thread starter Thread starter jeff0928
  • Start date Start date
Click For Summary

Discussion Overview

The discussion revolves around deriving equations of motion, specifically in the context of Lagrangian mechanics. Participants express uncertainty about the initial steps required to approach the problem and the necessary information needed to proceed.

Discussion Character

  • Exploratory, Technical explanation, Debate/contested, Homework-related

Main Points Raised

  • Some participants note the need for a clear question or problem statement to guide the derivation process.
  • There is a suggestion that understanding the Lagrangian is essential before attempting to show properties related to it.
  • One participant expresses uncertainty about what the first step should be in deriving the equations of motion.
  • Participants mention that previous arguments and discussions may have influenced their current understanding but do not clarify those points.

Areas of Agreement / Disagreement

Participants generally agree that a clear problem statement is necessary, but there is no consensus on how to proceed without additional information. The discussion remains unresolved regarding the specific steps to take in deriving the equations of motion.

Contextual Notes

Limitations include the lack of a complete problem statement and the dependence on understanding the Lagrangian, which has not been provided in detail.

jeff0928
Messages
2
Reaction score
0
Show that

Screenshot 2015-04-02 20.39.13.png


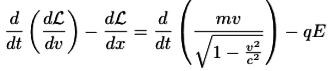
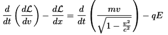
After some arguments about the equation and some other shenanigans beyond this question, we find that
Screenshot 2015-04-03 20.42.21.png

With the equation equaling zero, we can derive equations of motion.
 
Physics news on Phys.org
jeff0928 said:
Show that

View attachment 81443

After some arguments about the equation and some other shenanigans beyond this question, we find that
View attachment 81444
With the equation equaling zero, we can derive equations of motion.
What's your question? Your title, "Where do I start" doesn't provide much guidance.
 
Mark44 said:
What's your question? Your title, "Where do I start" doesn't provide much guidance.

I'm just not even sure what my first step would be in this case.
 
To show some property of the Lagrangian, you first need the Lagrangian.
We don't know where to start if you do not share the full problem.
 

Similar threads

  • · Replies 9 ·
Replies
9
Views
3K
  • · Replies 2 ·
Replies
2
Views
3K
  • · Replies 1 ·
Replies
1
Views
2K
  • · Replies 9 ·
Replies
9
Views
3K
  • · Replies 7 ·
Replies
7
Views
934
  • · Replies 0 ·
Replies
0
Views
1K
  • · Replies 5 ·
Replies
5
Views
3K
  • · Replies 17 ·
Replies
17
Views
4K
  • · Replies 6 ·
Replies
6
Views
3K
  • · Replies 2 ·
Replies
2
Views
2K