Which type differential equation is this?

Click For Summary

Discussion Overview

The discussion revolves around identifying the type of a specific differential equation and exploring methods for solving it. The equation in question is a first-order, nonlinear differential equation. Participants share their insights on classification, potential solution methods, and experiences with computational tools.

Discussion Character

  • Exploratory, Technical explanation, Debate/contested, Mathematical reasoning

Main Points Raised

  • Some participants identify the equation as first-order and nonlinear.
  • There is a suggestion that integration factors are typically used for linear equations, implying that this equation may require different techniques.
  • One participant mentions attempting to solve the equation by hand but not achieving a satisfactory result.
  • Another participant proposes using DSolve in Mathematica to find a symbolic solution, noting that Mathematica was unable to solve it, leading to the belief that it may not be easy to solve symbolically.
  • There is mention of using NDSolve in Mathematica for numerical solutions and fitting curves to the data if necessary.
  • A participant reports obtaining a solution in Maple, but describes it as strange and containing integral signs, expressing a desire for a more straightforward solution without computational aid.
  • One participant humorously refers to needing guidance from a "Master Science Jedi," indicating a light-hearted tone in seeking help.
  • Another participant discusses expressing the result in terms of series development, attributing much of the work to computational assistance.
  • There is a suggestion to verify solutions numerically and a query about computing the radius of convergence in relation to series solutions.

Areas of Agreement / Disagreement

Participants generally agree on the classification of the differential equation as first-order and nonlinear. However, there is no consensus on the best method for solving it, with multiple approaches being discussed and differing opinions on the effectiveness of computational tools.

Contextual Notes

Participants express uncertainty about the solvability of the equation symbolically and highlight the limitations of computational methods in providing clear solutions. There are also unresolved questions regarding the radius of convergence for series solutions.

Who May Find This Useful

This discussion may be useful for individuals interested in differential equations, particularly those exploring nonlinear equations and various solution methods, including both analytical and numerical approaches.

Susanne217
Messages
311
Reaction score
0
Which type differential equation is this??

I simply can't recognize it


[tex]y' = \frac{1}{3}y^{\frac{1}{2}} + t^{\frac{1}{3}}[/tex]

Which type of differential equation is??

non-linear?
 
Physics news on Phys.org


Mark44 said:
First order, nonlinear.

Hi and thank you for your answer...

which method do I use to solve this? integration factor? or separation of the variables?

I keep ending wrong result :(

So if you could point me direction of the right method to solve it. That would be nice :)
 


Susanne217 said:
So if you could point me direction of the right method to solve it. That would be nice :)

It's non-linear and often these require special techniques to solve. Integration factor is usually used for linear equations and this one can't be separated. This is what I usually do: try a bit to solve it by hand. I did that and got nothing. My next approach is to use DSolve in Mathematica:

DSolve[y'[t] == 1/3 y[t]^(1/2) + t^(1/3), y, t]

At least that way, if Mathematica gives me a solution, I know it's relatively easy to solve and the exact form of the answer often gives me a hint on how to solve it. However in this case Mathematica can't solve it. At that point, I think it's probably not easy to solve symbolically although sometimes Mathematica is in error. I may or may not look in a DE handbook. Sometimes that's helpful. Finally, my next approach would be to use NDSolve in Mathematica and solving it (an IVP) numerically and if necessary, fit a curve to the data if some approx. symbolic representation is sufficient.
 


jackmell said:
It's non-linear and often these require special techniques to solve. Integration factor is usually used for linear equations and this one can't be separated. This is what I usually do: try a bit to solve it by hand. I did that and got nothing. My next approach is to use DSolve in Mathematica:

DSolve[y'[t] == 1/3 y[t]^(1/2) + t^(1/3), y, t]

At least that way, if Mathematica gives me a solution, I know it's relatively easy to solve and the exact form of the answer often gives me a hint on how to solve it. However in this case Mathematica can't solve it. At that point, I think it's probably not easy to solve symbolically although sometimes Mathematica is in error. I may or may not look in a DE handbook. Sometimes that's helpful. Finally, my next approach would be to use NDSolve in Mathematica and solving it (an IVP) numerically and if necessary, fit a curve to the data if some approx. symbolic representation is sufficient.

I get a solution in Maple, but it very strange containing integral sign etc. There must be away to solve this equation without having to use computeral power. Hallsofty we need your guidence Master Science Jedi...
 


Susanne217 said:
Hallsofty we need your guidence Master Science Jedi...

Agreed, but I would say just "Master Jedi".
 
Last edited:


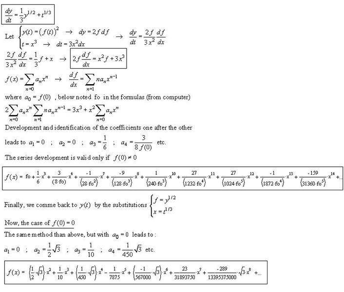
Hi Guys !

I am not a Jedi, so I let the most honorific job for them.
I did only a subaltern job which consists in expressing the result in terms of series development.
To be honest, I confess that my devoted computer did the even more subaltern work, which in fact is almost the whole, while I had a drink.
Well, have a look at the joint document.
 

Attachments

  • NonLinearEDO.JPG
    NonLinearEDO.JPG
    47 KB · Views: 489


Wait, let me check . . . yep, that's you alright. Startin' to look like it to me. Anyway, that's really nice Jacquelin. I think it would be nice to verify that solution, say numerically to some acceptable level of precision. And how does one compute the radius of convergence? I have problems figuring that out when a Cauchy product is involved.
 
Last edited:

Similar threads

  • · Replies 3 ·
Replies
3
Views
2K
  • · Replies 24 ·
Replies
24
Views
4K
  • · Replies 8 ·
Replies
8
Views
4K
Replies
0
Views
3K
  • · Replies 2 ·
Replies
2
Views
3K
  • · Replies 1 ·
Replies
1
Views
1K
  • · Replies 2 ·
Replies
2
Views
4K
  • · Replies 1 ·
Replies
1
Views
4K
  • · Replies 17 ·
Replies
17
Views
3K
  • · Replies 1 ·
Replies
1
Views
2K