Differential equation using power series method

Click For Summary

Discussion Overview

The discussion revolves around solving a differential equation using the power series method. Participants explore the formulation of the series, the recurrence relations for coefficients, and the implications of boundary conditions.

Discussion Character

  • Exploratory
  • Technical explanation
  • Mathematical reasoning
  • Debate/contested

Main Points Raised

  • One participant expresses doubt about their solution, noting that the convergence radius approaches zero, which seems incorrect given the initial condition y(1)=2.
  • Another participant suggests that the coefficients c_k should be independent of x and provides a method to write the derivative in terms of a power series.
  • A participant acknowledges trying the suggested method but struggles to derive a general solution, questioning where they might have gone wrong.
  • Several participants derive a recurrence relation for the coefficients c_k, indicating it can be solved easily, and mention a general solution form they believe is correct.
  • There is a discussion about the manipulation of sums and terms in the power series, with participants clarifying the treatment of the k=0 term in the series.
  • One participant points out a fundamental issue regarding the equality of different series representations, emphasizing the importance of correctly handling the terms in the power series.

Areas of Agreement / Disagreement

Participants generally do not reach a consensus, as there are multiple competing views on the correct formulation and manipulation of the power series and the recurrence relations.

Contextual Notes

Some participants express uncertainty about the correctness of their manipulations and the implications of their results, particularly concerning the boundary conditions and convergence of the series.

Graham87
Messages
72
Reaction score
16
TL;DR
Differential equation using power series method
I am attempting to solve this differential equation with power series
Screenshot 2023-12-20 135848.png


I came with the following solution but I doubt it is correct.
Screenshot 2023-12-20 140010.png

Screenshot 2023-12-20 140022.png


Since x=1 we get:
Screenshot 2023-12-20 140039.png

Screenshot 2023-12-20 140053.png

Screenshot 2023-12-20 140111.png

I doubt its correctness because it looks messy. Also the convergence radian R goes to 0, giving only a solution for x=0 which is not correct, since the beginning condition states y(1)=2.
Screenshot 2023-12-20 140120.png
 

Attachments

  • Screenshot 2023-12-20 140022.png
    Screenshot 2023-12-20 140022.png
    9.4 KB · Views: 127
Last edited:
Physics news on Phys.org
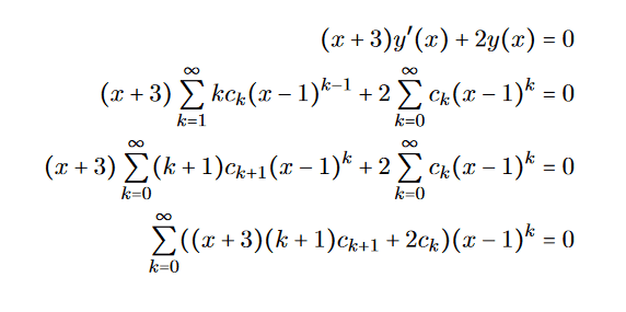
If you set [itex]y(x) = \sum_{k=0}^\infty c_k(x - 1)^k[/itex] then [itex]x[/itex] cannot appear in the recurrence relation for [itex]c_k[/itex]; the [itex]c_k[/itex] are supposed to be independent of [itex]x[/itex]. You need to write [tex]\begin{split}(x + 3)y' &= <br /> (x - 1 + 4)\sum_{k=1}^\infty kc_k (x-1)^{k-1} \\<br /> &= \sum_{k=1}^\infty kc_k (x - 1)^k + 4\sum_{k=1}^\infty kc_k (x- 1)^{k-1} \end{split}[/tex] and then compare coefficients of [itex](x-1)^k[/itex].
 
  • Like
Likes   Reactions: Graham87
pasmith said:
If you set [itex]y(x) = \sum_{k=0}^\infty c_k(x - 1)^k[/itex] then [itex]x[/itex] cannot appear in the recurrence relation for [itex]c_k[/itex]; the [itex]c_k[/itex] are supposed to be independent of [itex]x[/itex]. You need to write [tex]\begin{split}(x + 3)y' &=<br /> (x - 1 + 4)\sum_{k=1}^\infty kc_k (x-1)^{k-1} \\<br /> &= \sum_{k=1}^\infty kc_k (x - 1)^k + 4\sum_{k=1}^\infty kc_k (x- 1)^{k-1} \end{split}[/tex] and then compare coefficients of [itex](x-1)^k[/itex].
Oh, I tried that too but did not go through it completely. So I get thefollowing:
Screenshot 2023-12-20 162206.png

Screenshot 2023-12-20 162211.png

Screenshot 2023-12-20 162217.png

However the general solution formula does not seem obvious. Where might I have gone wrong?
 
Last edited:
You can write the ODE as [tex] \sum_{k=0}^\infty ( kc_k + 4(k+1)c_{k+1} + 2c_k )(x-1)^k = 0[/tex] from which it follows that [tex] c_{k+1} = -\frac{k+2}{4(k+1)}c_k, \quad k \geq 0.[/tex] This linear first-order recurrence can be easily solved, since the general solution of [tex] a_{k+1} = f(k)a_k[/tex] is [tex] a_k = a_0 \prod_{r=0}^{k-1} f(r).[/tex] Note that by inspection [itex]y = A(x + 3)^{-2}[/itex] is the general solution of [itex](x + 3)y' + 2y = 0[/itex] so that you can check your answer against [tex]\begin{split}<br /> y(x) &= 16y(1)(x + 3)^{-2} \\<br /> &= 16y(1)(x - 1 + 4)^{-2} \\<br /> &= y(1) \left(1 + \frac{x-1}{4}\right)^{-2} \\<br /> &= y(1) \left(1 - 2\frac{x-1}4 + \dots<br /> + \frac{(-2)(-3) \cdots (-n - 1)}{n!}\left(\frac{x-1}4\right)^n + \dots \right)\end{split}[/tex]
 
  • Like
Likes   Reactions: Graham87
pasmith said:
You can write the ODE as [tex] \sum_{k=0}^\infty ( kc_k + 4(k+1)c_{k+1} + 2c_k )(x-1)^k = 0[/tex] from which it follows that [tex] c_{k+1} = -\frac{k+2}{4(k+1)}c_k, \quad k \geq 0.[/tex] This linear first-order recurrence can be easily solved, since the general solution of [tex] a_{k+1} = f(k)a_k[/tex] is [tex] a_k = a_0 \prod_{r=0}^{k-1} f(r).[/tex] Note that by inspection [itex]y = A(x + 3)^{-2}[/itex] is the general solution of [itex](x + 3)y' + 2y = 0[/itex] so that you can check your answer against [tex]\begin{split}<br /> y(x) &= 16y(1)(x + 3)^{-2} \\<br /> &= 16y(1)(x - 1 + 4)^{-2} \\<br /> &= y(1) \left(1 + \frac{x-1}{4}\right)^{-2} \\<br /> &= y(1) \left(1 - 2\frac{x-1}4 + \dots<br /> + \frac{(-2)(-3) \cdots (-n - 1)}{n!}\left(\frac{x-1}4\right)^n + \dots \right)\end{split}[/tex]
I tried that, but I get stuck in the manipulation on the most left sum to k=0?
Screenshot 2023-12-20 162206.png

From your answer it turned to this somehow?
Screenshot 2023-12-20 181951.png

Shouldn't the most left term be
Screenshot 2023-12-20 183210.png
 
Last edited:
No; [tex] (x-1)y' = \sum_{k=1}^\infty kc_k(x-1)^k = \sum_{k=0}^\infty kc_k(x-1)^k[/tex] because [itex]0c_0(x-1)^0 = 0[/itex].
 
  • Like
Likes   Reactions: Graham87
pasmith said:
No; [tex] (x-1)y' = \sum_{k=1}^\infty kc_k(x-1)^k = \sum_{k=0}^\infty kc_k(x-1)^k[/tex] because [itex]0c_0(x-1)^0 = 0[/itex].
Yeah, I realised that too! Thanks a lot!
 
pasmith said:
No; [tex] (x-1)y' = \sum_{k=1}^\infty kc_k(x-1)^k = \sum_{k=0}^\infty kc_k(x-1)^k[/tex] because 0c0(x−1)0=0.
Are you sure about this?
I did like this:
Screenshot 2023-12-20 192440.png

And since x=1 we get the following
Screenshot 2023-12-20 192448.png

And eventually
Screenshot 2023-12-20 192615.png

Screenshot 2023-12-20 192625.png
 
The fundamental issue here is that [tex](x- 1)\sum_{k=1}^\infty kc_k(x-1)^{k-1} = \sum_{k=1}^\infty kc_k(x-1)^{k} = \sum_{k=0}^\infty kc_k(x-1)^k.[/tex]
 
  • Like
Likes   Reactions: Graham87

Similar threads

  • · Replies 24 ·
Replies
24
Views
4K
  • · Replies 3 ·
Replies
3
Views
2K
  • · Replies 7 ·
Replies
7
Views
4K
  • · Replies 2 ·
Replies
2
Views
4K
  • · Replies 2 ·
Replies
2
Views
3K
  • · Replies 0 ·
Replies
0
Views
4K
  • · Replies 2 ·
Replies
2
Views
3K
  • · Replies 52 ·
2
Replies
52
Views
10K
  • · Replies 4 ·
Replies
4
Views
2K
  • · Replies 1 ·
Replies
1
Views
3K