Why does my integrator pole disappear when I simplify this?

  • Context: Engineering 
  • Thread starter Thread starter CoolDude420
  • Start date Start date
  • Tags Tags
    Pole Simplify
Click For Summary

Discussion Overview

The discussion revolves around the behavior of integrator poles in a mathematical context, specifically in relation to algebraic simplifications applied to two attempts at solving a problem. Participants explore how different approaches to simplification can lead to the disappearance of the integrator pole at s=0.

Discussion Character

  • Technical explanation
  • Debate/contested
  • Mathematical reasoning

Main Points Raised

  • One participant notes that depending on where and how algebraic simplification is applied, different results can be obtained, leading to confusion about the disappearance of the integrator pole in one attempt.
  • Another participant suggests that the blue box in the equations should be corrected to R_\rho C_\rho +1/s, which would align the results of both attempts.
  • A follow-up question is raised regarding the importance of the timing of equating the denominator to zero to find poles, particularly if the function is not in standard terms of 's' and contains quotients.
  • One participant provides a formulation of the result from attempt 2, indicating that it can be expressed as a sum of simple pole functions and emphasizes the need for careful handling of the numerator to avoid divergence at poles.

Areas of Agreement / Disagreement

There is no clear consensus on the reasons behind the disappearance of the integrator pole, as participants express differing views on the implications of their algebraic manipulations and the timing of equating terms to zero.

Contextual Notes

Participants express uncertainty regarding the assumptions made during simplification and the conditions under which poles are determined, highlighting the complexity of the mathematical reasoning involved.

CoolDude420
Messages
199
Reaction score
9
Homework Statement
I have a 2nd order low-pass filter (expected to be driven by a current source) that I know has an integrator pole, a LHP pole and a LHP zero.

I need to find the location of these which I am doing by trying to find the impedance of this circuit.
Relevant Equations
n/a
I have tried two attempts at this and the strange this is - depending on where and how I apply my algebraic simplification (multiplying by s/s), I get a different answer. In attempt 1, I lose the integrator s=0 pole some how but in attempt 2, it's all fine.

Attempt 1

1714300951872.png


Attempt 2
1714300980690.png


PS: I have not completed this, my question is purely regarding why does the integrator pole dissapear.

So, why does the integrator pole in attempt 1 disappear but not in attempt 2?? I am really confused!
 
Physics news on Phys.org
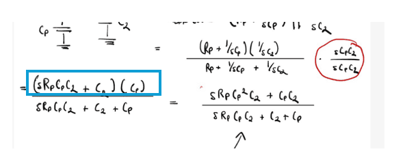
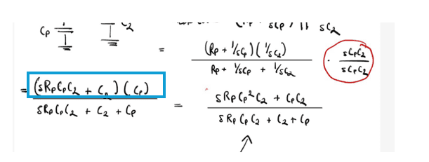
1714309976049.png

BLUE BOX should be
[tex]R_\rho C_\rho +1/s[/tex]
which makes attempts 1 and 2 have same result.
 
  • Like
Likes   Reactions: berkeman and BvU
anuttarasammyak said:
View attachment 344193
BLUE BOX should be
[tex]R_\rho C_\rho +1/s[/tex]
which makes attempts 1 and 2 have same result.
Oops. Can't believe I did that even though I reviewed my work 3 times! I was going crazy!
Thank you.
 
  • Like
Likes   Reactions: berkeman
anuttarasammyak said:
View attachment 344193
BLUE BOX should be
[tex]R_\rho C_\rho +1/s[/tex]
which makes attempts 1 and 2 have same result.
A follow up question - does it matter when I equate the denominator to 0 to get the poles. For example, if I replaced the blue box with [tex]R_\rho C_\rho +1/s[/tex], there would a 1/s term at the top, yet the bottom would be unchanged. If I just left the 1/s term on top and equated the bottom to zero at this stage of the work, I would still lose my s = 0 pole.

Do I have to ensure that the entire function is in standard terms of 's' and no quotients before equating to zero?
 
The result of attempt 2 would be written as
[tex]\frac{A}{s}+\frac{B}{s+c}[/tex]
where
[tex]c=R_\rho^{-1}(C_\rho^{-1}+C_2^{-1})[/tex]
You can get constants A and B by calculation. You find it sum of simple pole functions. You do not have to do this reduction in applying residue theorem. The result of attempt 2 is well enough to do it. But be cafeful in your formula so that numerator does not diverge at poles.
 
Last edited:
  • Like
Likes   Reactions: berkeman

Similar threads

  • · Replies 8 ·
Replies
8
Views
3K
  • · Replies 2 ·
Replies
2
Views
2K
  • · Replies 1 ·
Replies
1
Views
2K
  • · Replies 5 ·
Replies
5
Views
5K
  • · Replies 3 ·
Replies
3
Views
2K
Replies
1
Views
3K
  • · Replies 4 ·
Replies
4
Views
2K
  • · Replies 1 ·
Replies
1
Views
6K
  • · Replies 8 ·
Replies
8
Views
5K
  • · Replies 17 ·
Replies
17
Views
3K