Why is the coefficient two in the work done by friction equation?

  • Thread starter Thread starter Leo Liu
  • Start date Start date
  • Tags Tags
    Friction Shm
Click For Summary
SUMMARY

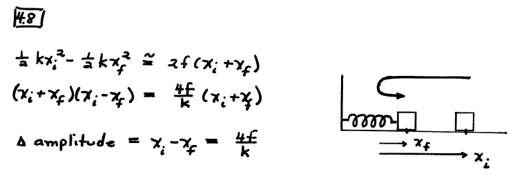
The work done by friction is multiplied by 2 due to the total distance traveled by the block during one complete cycle, which is 2(xi + xf). In the first edition manual, xi and xf represent offsets from the relaxed position, while in the second edition, they indicate distances from the wall. This distinction clarifies the calculation of total distance, as the block moves from xi to xf and back, effectively doubling the distance covered. Understanding this concept is crucial for accurately applying the work done by friction equation in physics problems.

PREREQUISITES
  • Understanding of basic physics concepts, particularly work and energy.
  • Familiarity with the principles of friction and motion.
  • Knowledge of the differences between first and second edition manual notations.
  • Ability to interpret equations related to distance and displacement.
NEXT STEPS
  • Review the work-energy theorem in classical mechanics.
  • Study the differences in notation and terminology between various physics textbooks.
  • Explore practical examples of friction work calculations in real-world scenarios.
  • Learn about the implications of distance traveled on work done in oscillatory motion.
USEFUL FOR

Students studying physics, educators teaching mechanics, and anyone seeking to understand the principles of work done by friction in oscillatory systems.

Leo Liu
Messages
353
Reaction score
156
Homework Statement
below
Relevant Equations
na
1611450520083.png

Solution in 2ed manual:
1611450607765.png

Solution in 1ed manual:
1611450680206.png

Could someone explain why the work done by friction is multiplied by 2? I get that the distance traveled by the block in one cycle is greater than ##x_f+x_i##, but why is the coefficient two?
 
Physics news on Phys.org
Leo Liu said:
Homework Statement:: below
Relevant Equations:: na

View attachment 276734
Solution in 2ed manual:
View attachment 276735
Solution in 1ed manual:
View attachment 276736
Could someone explain why the work done by friction is multiplied by 2? I get that the distance traveled by the block in one cycle is greater than ##x_f+x_i##, but why is the coefficient two?
It is confusing that the two solutions use xi and xf to mean different things.
In the second one (1ed), they are both offsets from the relaxed position instead of from the wall, and xf means the new rightmost extension after one cycle.
That cycle involves traveling xi to the left to reach xo, then another (xi+xf)/2 to the left for its first leftmost position, then back through xo to its new rightmost position.
Total distance, 2(xi+xf).
 
  • Like
Likes   Reactions: Lnewqban and Leo Liu

Similar threads

  • · Replies 4 ·
Replies
4
Views
3K
  • · Replies 58 ·
2
Replies
58
Views
6K
Replies
18
Views
3K
Replies
7
Views
2K
  • · Replies 7 ·
Replies
7
Views
8K
  • · Replies 33 ·
2
Replies
33
Views
4K
  • · Replies 7 ·
Replies
7
Views
3K
  • · Replies 4 ·
Replies
4
Views
3K
  • · Replies 8 ·
Replies
8
Views
1K
Replies
2
Views
2K