Why Is the d-Orbital Considered in Sc Term Symbols?

Click For Summary

Homework Help Overview

The discussion revolves around deriving term symbols for the ground states of various atoms, specifically focusing on the inclusion of the d-orbital in the case of scandium (Sc) and the reasoning behind not considering the s-orbital. Participants are exploring the implications of electron configurations and the contributions of filled versus partially filled subshells to the overall term symbols.

Discussion Character

  • Exploratory, Conceptual clarification, Assumption checking

Approaches and Questions Raised

  • Participants discuss the relevance of the d-orbital in the context of Sc, questioning why the s-orbital is not considered despite its higher energy level. There is also a discussion about the term symbol for the F- ion and the implications of filled orbitals on angular momentum contributions.

Discussion Status

Some participants have offered insights regarding the treatment of filled subshells and their contributions to the term symbols. There is an ongoing exploration of the reasoning behind specific term symbols, with participants clarifying misunderstandings and correcting typographical errors in electron configurations.

Contextual Notes

Participants are navigating the complexities of electron configurations and term symbols, with specific attention to the implications of filled versus partially filled orbitals. There is a mention of a potential typo in the electron configuration that may affect the discussion.

physicisttobe
Messages
56
Reaction score
13
Homework Statement
electron configuration of SC
Relevant Equations
...
I've solved further Term Symbol problems. The task is: derive the term symbols of the ground states of the following atoms: a) H, b) F, c) Cu, d) F- , e) P, f) Na, g) Sc

Why is the d-orbital considered here in g)? Why isn't the s orbital taken into account here? The 4s orbital is energetically higher than the 3d orbital, so why don't you look at the 4s orbital. I also post the solution and my approach to this problem. I can't explain why my approach is incorrect. Can someone help me?

my approach:
C5D1F174-C00B-4242-A072-B400DE853580.jpeg


solution:
ECB91335-C5CF-470D-94EE-3DA783A57DF4.jpeg
 
Physics news on Phys.org
The s orbital is full. The net contribution of all filled subshells to L and S is zero, so you only need to consider partially filled subshells. (And I assume 3d14 is a typo for 3d1.)

Oh, and if you meant Sc you should have said so. SC is something very different!
 
  • Like
Likes   Reactions: jim mcnamara
mjc123 said:
The s orbital is full. The net contribution of all filled subshells to L and S is zero, so you only need to consider partially filled subshells.
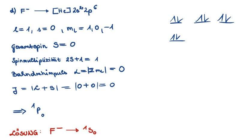
All right, but what about F-? We have the configuration [He]2s^2 2p^6, both orbitals are full.
I thought it would be 1P0 but it's wrong. The solution is 1S0, but I can't explain why 1S0.
I solved this problem like this:

EE4B9EA0-09D4-4259-8706-EEB25FFD77E8.jpeg

mjc123 said:
(And I assume 3d14 is a typo for 3d1.)
Yes, it's a typo, sorry for that.
mjc123 said:

Oh, and if you meant Sc you should have said so. SC is something very different!
Oh, sorry, I mean Sc, of course.
mjc123 said:
The s orbital is full. The net contribution of all filled subshells to L and S is zero, so you only need to consider partially filled subshells. (And I assume 3d14 is a typo for 3d1.)

Oh, and if you meant Sc you should have said so. SC is something very different!
 

Attachments

  • 9383CF58-1003-4E6C-96F1-A7FC418E457B.jpeg
    9383CF58-1003-4E6C-96F1-A7FC418E457B.jpeg
    20.4 KB · Views: 167
physicisttobe said:
All right, but what about F-? We have the configuration [He]2s^2 2p^6, both orbitals are full.
I thought it would be 1P0 but it's wrong. The solution is 1S0, but I can't explain why 1S0.

What is your reasoning for selecting ##P## in your solution ##^1P_0##?
A full orbital subshell has zero net orbital angular momentum.
 
Last edited:
physicisttobe said:
Oh, sorry, I mean Sc, of course.
{Fixed in thread title now)
 
TSny said:
What is your reasoning for selecting ##P## in your solution ##^1P_0##?
A full orbital subshell has zero net orbital angular momentum.
All right, I get it. Thank you so much for your help!
If any questions arise, I'll get in touch here
 
  • Like
Likes   Reactions: TSny and berkeman

Similar threads

  • · Replies 2 ·
Replies
2
Views
2K
  • · Replies 11 ·
Replies
11
Views
3K
Replies
4
Views
3K
  • · Replies 3 ·
Replies
3
Views
2K
  • · Replies 9 ·
Replies
9
Views
2K
Replies
1
Views
3K
  • · Replies 1 ·
Replies
1
Views
1K
  • · Replies 2 ·
Replies
2
Views
3K
  • · Replies 9 ·
Replies
9
Views
3K
  • · Replies 1 ·
Replies
1
Views
2K