75th percentile of the normal distribution

Click For Summary

Homework Help Overview

The problem involves a normally distributed random variable X, with known values at specific percentiles: 650 at the 60th percentile and 850 at the 90th percentile. The objective is to find the value of the 75th percentile of this distribution.

Discussion Character

  • Exploratory, Assumption checking, Problem interpretation

Approaches and Questions Raised

  • Participants discuss the use of standard normal distribution tables to find z-values corresponding to the given percentiles. There is uncertainty about the values of mean (mu) and standard deviation (sigma) needed for calculations. Some participants question the validity of averaging the 60th and 90th percentiles to estimate the 75th percentile.

Discussion Status

The discussion is ongoing, with participants exploring different interpretations of how to approach the problem. Some guidance has been offered regarding the use of z-values and the relationship between percentiles, but there is no consensus on the method to be used without access to standard normal tables.

Contextual Notes

Participants express concern about the lack of access to standard normal distribution tables during exams, which influences their approach to solving the problem. There is also a mention of differing opinions on how percentiles relate to one another in a non-linear distribution.

zak100
Messages
462
Reaction score
11

Homework Statement


The random variable X is normally distributed. The values 650 and 850 are at the 60th and 90th percentile of the distribution of X respectively. Find the value of the 75th percentile of the distribution of X.

Homework Equations


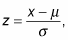
360208.image1.png

I found the above formula from internet.
where sigma is standard deviation, mu is mean

The Attempt at a Solution


I don't know the values of mu, sigma and Z. Somebody please guide me.

Zulfi.
 
Physics news on Phys.org
zak100 said:

Homework Statement


The random variable X is normally distributed. The values 650 and 850 are at the 60th and 90th percentile of the distribution of X respectively. Find the value of the 75th percentile of the distribution of X.

Homework Equations


View attachment 205150
I found the above formula from internet.
where sigma is standard deviation, mu is mean

The Attempt at a Solution


I don't know the values of mu, sigma and Z. Somebody please guide me.

Zulfi.

Use a table of standard normal distribution values to get the two values of ##z## for the 60th and 90th percentiles.
 
From a SD table look-up:
The 60th percentile puts 650 at a standard deviation of 0.2535.
So (650-u)/s = 0.2535.
Now do the same for 850 and you'll have two linear equations and two unknowns.
 
Hi,
Thanks for your replies. I don't think that in the exam, I would be having access to this SD table. I have to do without the table.
Is 75th percentile not between 90th and 60th percentile. (850 + 650)/2 = 750. Why is this wrong? I have seen an example which finds 15th percentile using the values of 10th and 20th percentile. Some body please guide me.

Zulfi.
 
zak100 said:
Hi,
Thanks for your replies. I don't think that in the exam, I would be having access to this SD table. I have to do without the table.
Is 75th percentile not between 90th and 60th percentile. (850 + 650)/2 = 750. Why is this wrong? I have seen an example which finds 15th percentile using the values of 10th and 20th percentile. Some body please guide me.

Zulfi.

The 75th percentile of the normal distribution is NOT the average of the 60th and 90th percentiles. For the standard normal, the average of the 60th and 90th percentiles is ##z_m = 0.7674493346,## and this is the 77.86th percentile. The relation between the ##z##-value and the probability value is not linear (that is, does not have a straight-line graph), so you cannot just take simple averages like you did.

Also: whoever told you that the 15th percentile is the average of the 10th and 20th percentiles is wrong; that gives you the 14.42th percentile.

If you do not have access to normal tables in an exam, all you can do is express the answer symbolically: if you let ##a = ##60th percentile and ##b = ## 90th percentile of the standard normal, you can get ##\mu## and ##\sigma## in terms of ##a, b## and the given input numbers. Then if you let ##c = ## 75th percentile of the standard normal, you can write a formula for the 75th percentile of ##X## in terms of ##a, b## and ##c##.
 
Hi,
I am attaching the diagram.
graph of standard deviation ets p191.jpg


Can somebody please point out where 750 would lie in the attached graph and where the value of 75th percentile would lie? This would help me to find out whether 750 is greater or 75th percentile is greater.

Zulfi.
 
zak100 said:
Hi,
I am attaching the diagram.View attachment 205338

Can somebody please point out where 750 would lie in the attached graph and where the value of 75th percentile would lie? This would help me to find out whether 750 is greater or 75th percentile is greater.

Zulfi.

No, there is technically no easy way for anybody to point out on the graph where the 75th percentile would be. Anyway, locating the 75th percentile is YOUR job, and you should do everything you can to finish the task. You have been told several times how to find the 75th percentile: consult a table of the standard normal distribution. You say that in an exam you would not have access to a "normal" table, but that is irrelevant here: you are posting a message, not writing an exam.

That being said, you can answer the question for yourself as to whether the 75thpercentile is less than or greater than 750. On the graph, the point at 750 cuts the area under the graph (between 650 and 850) into two parts. Just looking at the picture, do you think that the area between 650 and 750 is equal to the area between 750 and 850? Basically, the 75th percentile ##p## is determined by making the area between 650 and ##p## equal to the area between ##p## and 850.

On an exam, that type of analysis might be sufficient, even without having a normal table available.
 
zak100 said:
I don't think that in the exam, I would be having access to this SD table. I have to do without the table.
You do not get asked such a question without a table (at least with 60, 75 and 90 as entries).
While it is possible to find approximate values for the quantiles from scratch (someone made the tables, by hand before computers were around) that is way too much work for an exam.
 

Similar threads

  • · Replies 1 ·
Replies
1
Views
2K
Replies
2
Views
1K
Replies
6
Views
4K
  • · Replies 2 ·
Replies
2
Views
2K
  • · Replies 5 ·
Replies
5
Views
2K
Replies
4
Views
2K
  • · Replies 6 ·
Replies
6
Views
2K
  • · Replies 4 ·
Replies
4
Views
3K
  • · Replies 6 ·
Replies
6
Views
1K
Replies
3
Views
2K