A classical mechanics problem involve rotating

Click For Summary
SUMMARY

The discussion focuses on a classical mechanics problem involving rotating systems, specifically analyzing the relationship between radial distance and angular motion. The Coriolis force, defined as F_cor=2mvΩ, and the centrifugal force, F_cf=Ω²mr, are critical in understanding the tangential acceleration and radial distance changes. The participants suggest that the motion may resemble a helix, with x(t) potentially being an exponential function solved by ordinary differential equations (ODEs). The challenge lies in deriving the relationship between y and x from the given equations.

PREREQUISITES
  • Understanding of classical mechanics principles, particularly forces in rotating systems.
  • Familiarity with the Coriolis and centrifugal forces.
  • Knowledge of ordinary differential equations (ODEs) and their applications in motion analysis.
  • Ability to interpret and manipulate polar coordinates (r, φ) in relation to Cartesian coordinates (x, y).
NEXT STEPS
  • Study the application of the Coriolis force in rotating reference frames.
  • Learn how to derive relationships between variables in polar coordinates and Cartesian coordinates.
  • Explore the use of ordinary differential equations (ODEs) in modeling motion in rotating systems.
  • Investigate the characteristics of helical motion and its mathematical representation.
USEFUL FOR

Students and professionals in physics, particularly those studying mechanics, as well as educators seeking to deepen their understanding of rotating systems and forces involved in motion analysis.

drop_out_kid
Messages
34
Reaction score
2
Homework Statement
I intuitively think this is a helix, x(t) probably a exponential solved by ODE, but I cannot come up with it.. I think in this problem. Coriolis force is for tangential acceleration(r(t) increases) and the centrifugal force is making r(t) increases.
Relevant Equations
F_cor=2mv $Omega$
F_cf=$Omega^2$m*r
1650171676464.png


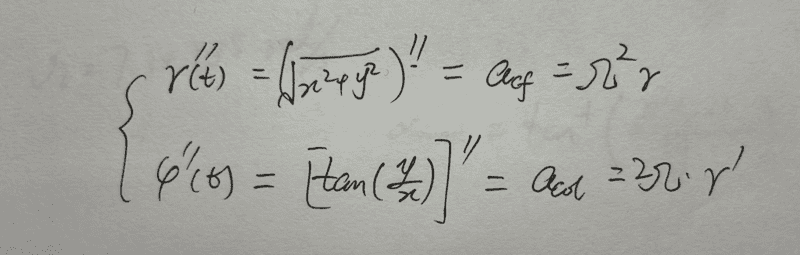
I came up with these: (especially not sure if second is right)
1650171975775.png
 
Physics news on Phys.org
From eqs 1 I can get r is exponential, question is to get y/x or other relation from eqs 2
 
drop_out_kid said:
Homework Statement:: I intuitively think this is a helix, x(t) probably a exponential solved by ODE, but I cannot come up with it.. I think in this problem. Coriolis force is for tangential acceleration(r(t) increases) and the centrifugal force is making r(t) increases.
Relevant Equations:: F_cor=2mv $Omega$
F_cf=$Omega^2$m*r

View attachment 300109

I came up with these: (especially not sure if second is right)
View attachment 300110
The instructions are to use x as the radial distance, etc. Turning those into r, phi and using x, y for fixed axes is not going to help.
Start by considering first derivatives, like ##\dot y##.
 

Similar threads

  • · Replies 35 ·
2
Replies
35
Views
4K
Replies
13
Views
2K
  • · Replies 6 ·
Replies
6
Views
2K
Replies
6
Views
2K
  • · Replies 2 ·
Replies
2
Views
894
  • · Replies 1 ·
Replies
1
Views
1K
Replies
6
Views
3K
  • · Replies 25 ·
Replies
25
Views
3K
  • · Replies 9 ·
Replies
9
Views
3K
Replies
2
Views
1K