Classical Mechanics Problem with balls

Click For Summary

Homework Help Overview

The problem involves two balls, A and B, connected to a third ball, G, by a rope. The system is influenced by the mass of G and its projection onto the line between A and B, with no friction involved. The masses of A and B are equal, while G has twice their mass. The objective is to find the time of impact and the velocity of G at that time.

Discussion Character

  • Exploratory, Conceptual clarification, Mathematical reasoning, Problem interpretation, Assumption checking

Approaches and Questions Raised

  • Participants discuss applying conservation of energy and kinematics to find the collision speed and time. There are questions about potential energy and how to calculate forces. Some suggest sketching the scenario to analyze changes in potential energy and the relationships between accelerations.

Discussion Status

Participants are exploring various interpretations of the problem and discussing the relationships between different components of acceleration. Some guidance has been offered regarding resolving components and understanding the implications of constant distances in the system.

Contextual Notes

There is an ongoing discussion about the constraints of the system, particularly regarding the horizontal movement of A and B while G descends. Participants express frustration over the lack of complete answers and the policy against providing full solutions.

Manolisjam
Messages
49
Reaction score
0

Homework Statement


Consider 2 balls A,B on the same line . and they are connected to a third one G with a rope L. AG, AB. now the system monves in the effect of the mass of G and its projection to the line AB is in the middle. No friction. mass of A=mass of B=m and mass of G=2m
.FInd the time of impact and the velocity of G at that time

Homework Equations

The Attempt at a Solution


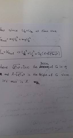
I know the only forces are From the rope. 2 on the G ball and 1 in each of the balls.I understant i have to apply conservation law of energy but how? What is the potential energy? And also How to calculate the forces. Is it like the 3ball acts like gravity would do?
aaa.jpg
 

Attachments

  • aaa.jpg
    aaa.jpg
    7.8 KB · Views: 602
Physics news on Phys.org
Manolisjam said:
i have to apply conservation law of energy
You can use that, and the kinematics (i.e. dynamic geometry), to find the collision speed, but it will not yield the time.
To find the time you need to write out the force and acceleration equations and solve.
Use kinematics to find the relationships between the different accelerations.
 
Make a second sketch with balls A and B at the point of impact. Now compare the two sketches. What is the change in potential energy? Where did that energy go / what was done with the energy?
 
haruspex said:
You can use that, and the kinematics (i.e. dynamic geometry), to find the collision speed, but it will not yield the time.
To find the time you need to write out the force and acceleration equations and solve.
Use kinematics to find the relationships between the different accelerations.
Sorry but could you explain in more detail. I don't even get how to aply the conservation law.And how would i proceed doing the kinematics?
 
jrmichler said:
Make a second sketch with balls A and B at the point of impact. Now compare the two sketches. What is the change in potential energy? Where did that energy go / what was done with the energy?
i Understant that at the initial time kinetic energy is zero and an the final time all the potential energy is kinetic. So V_intitial =_Kfinal i know K=1/2 mu^2 but what about the potential?
 
Manolisjam said:
how would i proceed doing the kinematics?
These can be tricky to work out.
What you know is that the distances AG and BG are constant. Consider the arrangement when, say, angle ABG is θ. Suppose at this point A has an acceleration aA. What is the component of that acceleration in the AG direction?
If the distance AG is constant, what does that tell you about the acceleration of G in the AG direction?
 
haruspex said:
These can be tricky to work out.
What you know is that the distances AG and BG are constant. Consider the arrangement when, say, angle ABG is θ. Suppose at this point A has an acceleration aA. What is the component of that acceleration in the AG direction?
If the distance AG is constant, what does that tell you about the acceleration of G in the AG direction?
isnt the acceleration a_A towards AG but it has 2 components one towards B and one point down ?
 
Manolisjam said:
isnt the acceleration a_A towards AG but it has 2 components one towards B and one point down ?
My understanding of the question is that A and B are constrained to move horizontally, while G descends under gravity.
Please confirm or correct.
 
haruspex said:
My understanding of the question is that A and B are constrained to move horizontally, while G descends under gravity.
Please confirm or correct.
yes they are costrained to move horizontally only!
 
  • #10
Manolisjam said:
yes they are costrained to move horizontally only!
So A's acceleration, aA, is horizontal, but that has a component in the AG direction. What is the magnitude of that component?
 
  • #11
haruspex said:
So A's acceleration, aA, is horizontal, but that has a component in the AG direction. What is the magnitude of that component?
F/m ?? by Newtons law?
 
  • #12
Manolisjam said:
F/m ?? by Newtons law?
No, we're just discussing kinematics at this stage: displacements, velocities, accelerations. No forces or masses.
If the horizontal acceleration is aA, what component does that have in the AG direction? Use the angle θ.
 
  • #13
haruspex said:
No, we're just discussing kinematics at this stage: displacements, velocities, accelerations. No forces or masses.
If the horizontal acceleration is aA, what component does that have in the AG direction? Use the angle θ.
a_A=cosθ*a_G
 
  • #14
Manolisjam said:
a_A=cosθ*a_G
I assume you are defining aG as the acceleration of G. That is not correct. (I said it was tricky.)
We need to take it in smaller steps. Please try to answer the question I asked, don't worry about aG yet.
What component does A's acceleration have in the AG direction?
 
  • #15
haruspex said:
I assume you are defining aG as the acceleration of G. That is not correct. (I said it was tricky.)
We need to take it in smaller steps. Please try to answer the question I asked, don't worry about aG yet.
What component does A's acceleration have in the AG direction?
a_G i meant th component of a of A to the direction of G.
 
  • #16
Manolisjam said:
a_G i meant th component of a of A to the direction of G.
Ok, but your answer was wrong. It would make the component greater than the whole.
 
  • #17
haruspex said:
Ok, but your answer was wrong. It would make the component greater than the whole.
28450388_10213703965147783_1458233801_n.jpg
 

Attachments

  • 28450388_10213703965147783_1458233801_n.jpg
    28450388_10213703965147783_1458233801_n.jpg
    11 KB · Views: 427
  • #18
You are making an assumption about which is adjacent and which is hypotenuse.
If you have any vector - force, acceleration, velocity, whatever - and you want a component of that in some other direction then the vector you started with is the hypotenuse.
 
  • #19
haruspex said:
You are making an assumption about which is adjacent and which is hypotenuse.
If you have any vector - force, acceleration, velocity, whatever - and you want a component of that in some other direction then the vector you started with is the hypotenuse.
im tired ill pm you tommorow thanks so far !
 
  • #20
haruspex said:
You are making an assumption about which is adjacent and which is hypotenuse.
If you have any vector - force, acceleration, velocity, whatever - and you want a component of that in some other direction then the vector you started with is the hypotenuse.
1.jpg
1.jpg
my progress so far...
 

Attachments

  • 1.jpg
    1.jpg
    11.1 KB · Views: 429
  • 2.jpg
    2.jpg
    8.1 KB · Views: 427
  • #21
Your force equations might be ok... depends which directions you are defining as positive.
As I mentioned, there really is no point in working with energy conservation since you are asked to find time.

Please do not post algebra as images. It makes it hard to comment on specific lines.
 
  • #22
haruspex said:
Your force equations might be ok... depends which directions you are defining as positive.
As I mentioned, there really is no point in working with energy conservation since you are asked to find time.

Please do not post algebra as images. It makes it hard to comment on specific lines.
SO what do i do?
 
  • #23
Manolisjam said:
SO what do i do?
i think ima loose it.
 
  • #24
Manolisjam said:
i think ima loose it.
Apply what I explained about resolving components in post #18 and hence find the correct relationship between aA and its component in the AG direction.
You will find it valuable to be able to do this correctly. It is fundamental to many kinematics problems.
 
  • #25
haruspex said:
Apply what I explained about resolving components in post #18 and hence find the correct relationship between aA and its component in the AG direction.
You will find it valuable to be able to do this correctly. It is fundamental to many kinematics problems.
ok if a_A is the acceleration on x axes then cosθ=a_AG/a_A right? where a_AG is the component in a_AG direction
 
  • #26
Manolisjam said:
ok if a_A is the acceleration on x axes then cosθ=a_AG/a_A right? where a_AG is the component in a_AG direction
Yes.
Now consider this: the distance from A to G is constant. What does that tell you about how the component of G's acceleration in the AG direction relates to aAG?
 
  • #27
isnt Gs acceleration down?
 
  • #28
Manolisjam said:
isnt Gs acceleration down?
dont get it
 
  • #29
ive been trying 2 days now straght . all . I've asked other people no1 will give me a full answer so i can study it and understant it. because that the policy .. i give up
haruspex said:
Yes.
Now consider this: the distance from A to G is constant. What does that tell you about how the component of G's acceleration in the AG direction relates to aAG?
nvm i give up.. its 3 day straight I am just doing this thing... and no1 can give me a full answer since i can't derive it..gn
 
  • #30
Manolisjam said:
isnt Gs acceleration down?
Yes, but it also has a component in the AG direction.
It might help to think about velocity components first. What would happen to the string if the component of G's velocity in the AG direction were greater than the component of A's velocity in the AG direction?
 

Similar threads

  • · Replies 41 ·
2
Replies
41
Views
4K
Replies
6
Views
2K
Replies
6
Views
3K
  • · Replies 4 ·
Replies
4
Views
2K
Replies
6
Views
3K
  • · Replies 7 ·
Replies
7
Views
1K
Replies
8
Views
5K
  • · Replies 3 ·
Replies
3
Views
2K
  • · Replies 9 ·
Replies
9
Views
2K