A kid slips off the top of the hill -- find the escape angle

Michael_0039
Messages
59
Reaction score
7
Homework Statement
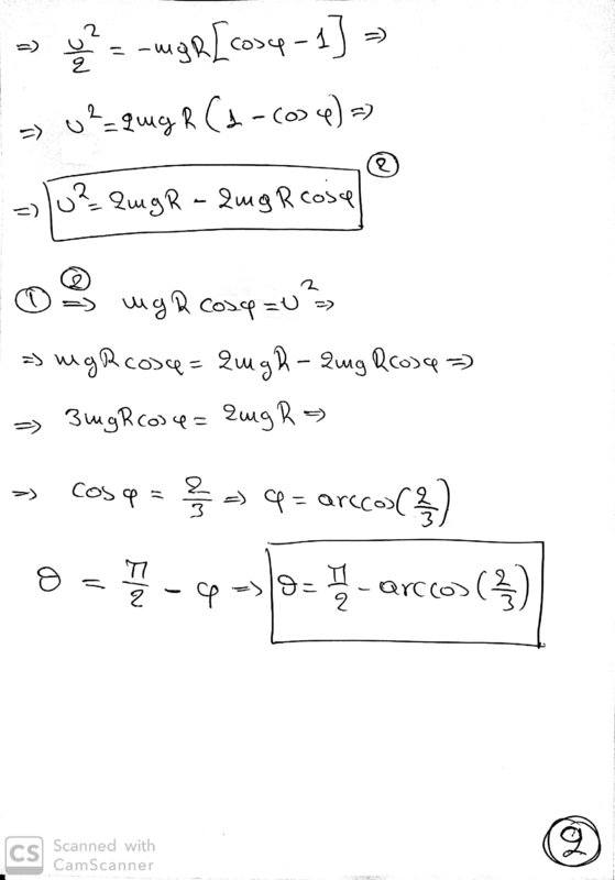
No friction. Initial velocity=0 (pic)
Relevant Equations
nil
Hi,

This is my try.
New Doc 2019-12-05 15.25.40_1.jpg


New Doc 2019-12-05 15.25.40_2.jpg


Are you in agreement with this ?

Thanks.
 
Physics news on Phys.org
I agree.
 

Similar threads

Replies
4
Views
3K
  • · Replies 11 ·
Replies
11
Views
3K
  • · Replies 4 ·
Replies
4
Views
2K
Replies
2
Views
5K
Replies
3
Views
2K
Replies
12
Views
2K
  • · Replies 2 ·
Replies
2
Views
2K
  • · Replies 45 ·
2
Replies
45
Views
10K
  • · Replies 60 ·
3
Replies
60
Views
5K
  • · Replies 7 ·
Replies
7
Views
2K