A problem in Trigonometry (Properties of Triangles) v3

Click For Summary

Homework Help Overview

The discussion revolves around a trigonometric identity related to triangle properties, specifically proving the equation involving the sides of a triangle and its area. The original poster presents a mathematical statement that requires proof, focusing on the relationship between the sides and angles of triangle ABC.

Discussion Character

  • Exploratory, Assumption checking

Approaches and Questions Raised

  • Participants discuss the validity of the proof and question the dimensional consistency of the equation presented. There are inquiries about the original poster's methods and whether they have resolved the problem independently or with external assistance.

Discussion Status

The discussion has evolved into a debate about the appropriateness of cross-posting on multiple forums. While some participants express concern over the potential waste of time for those offering help, others defend the practice as a means to gather diverse solutions. The thread has been locked, indicating that the original poster has claimed to solve the problem with help from another source.

Contextual Notes

There is a mention of a change in dimensional analysis within the problem, which raises questions about the correctness of the approach taken. The thread also reflects on the implications of seeking help across different platforms and the impact on community engagement.

Wrichik Basu
Science Advisor
Insights Author
Gold Member
Messages
2,188
Reaction score
2,694

Homework Statement



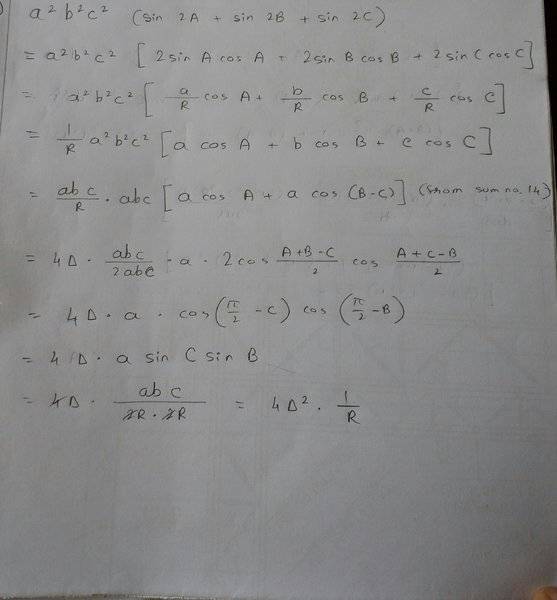
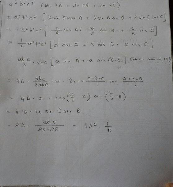
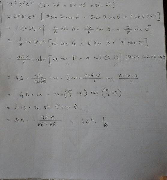
In any triangle ABC, prove that $$a^2 b^2 c^2 \left (\sin {2A} +\sin {2B} + \sin {2C} \right) = 32 \Delta ^3$$

Here ##\Delta ## means the area of the triangle.

Homework Equations



The Attempt at a Solution



20170512_113927.jpg
 
Physics news on Phys.org
Wrichik Basu said:

Homework Statement



In any triangle ABC, prove that $$a^2 b^2 c^2 \left (\sin {2A} +\sin {2B} + \sin {2C} \right) = 32 \Delta ^3$$

Here ##\Delta ## means the area of the triangle.

Homework Equations



The Attempt at a Solution



View attachment 203411

This thread is marked solved. why ? did you worked this out or you still need help ?
 
As a physicist I notice your change in dimension somewhere halfway (I can point it out if you type it, not if you post a picture...) from length6 to length3 ...
 
Buffu said:
Then it is bad of you to cross post on multiple sites.

Of course I'll cross post, because previously by doing this, several times I've got several different correct ways to solve a single problem, which is interesting.
 
Wrichik Basu said:
Of course I'll cross post, because previously by doing this, several times I've got several different correct ways to solve a single problem, which is interesting.

You don't realize you will waste time of people who will look at this post thinking you need help.
 
  • Like
Likes   Reactions: SammyS
Thread locked for moderation.
 
Wrichik Basu said:
Of course I'll cross post, because previously by doing this, several times I've got several different correct ways to solve a single problem, which is interesting.

We can't stop you from posting on multiple forums, but unfortunately you've probably just lost the help of any of our regular homework helpers that happen to stumble across this thread or that hear about this. As Buffu said, you're mostly just wasting peoples' time.

Thread will remain locked as the problem is, obviously, solved.
 

Similar threads

  • · Replies 7 ·
Replies
7
Views
2K
  • · Replies 3 ·
Replies
3
Views
2K
  • · Replies 18 ·
Replies
18
Views
2K
  • · Replies 11 ·
Replies
11
Views
3K
Replies
2
Views
2K
  • · Replies 2 ·
Replies
2
Views
2K
  • · Replies 12 ·
Replies
12
Views
3K
  • · Replies 3 ·
Replies
3
Views
2K
Replies
3
Views
2K
  • · Replies 7 ·
Replies
7
Views
2K