- 2,188
- 2,694
Homework Statement
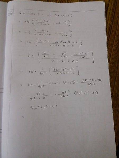
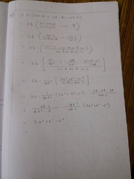
In any triangle ABC, prove that $$ a^2 + b^2 +c^2 =4 \Delta (\cot {A}+\cot {B}+\cot {C}) $$
The discussion revolves around a trigonometric identity involving the sides and angles of triangle ABC, specifically the relationship expressed in the equation $$ a^2 + b^2 +c^2 =4 \Delta (\cot {A}+\cot {B}+\cot {C}) $$, where Δ represents the area of the triangle. Participants are exploring the notation and implications of this identity.
The discussion is active, with participants providing insights into the notation and engaging in a back-and-forth regarding the correctness of certain trigonometric identities. There is a mix of agreement and disagreement on the standard use of Δ, indicating a productive exploration of the topic.
Some participants note that the notation for the area of a triangle can vary by region, with specific references to conventions used in India. This highlights the potential for confusion in mathematical notation across different contexts.
Wrichik Basu said:Homework Statement
In any triangle ABC, prove that $$ a^2 + b^2 +c^2 =4 \Delta (\cot {A}+\cot {B}+\cot {C}) $$
Homework Equations
The Attempt at a Solution
View attachment 203380
Buffu said:What is ##\Delta## ?
Wrichik Basu said:The area of Triangle, the standard notation used in Trigonometry.
Buffu said:##\displaystyle {c \over \sin^2 c} = 2R##
Check your work again, you replace ##\sin c## with ##a/(2R)##, you should do ##c/(2R)##
Yes, that was a typo.Wrichik Basu said:You are wrong: $$\frac {c} {\sin (c)} = 2R$$ not $$\frac {c}{\sin ^2 (c)} = 2R$$


Buffu said:What is Δ ?
No, this is not standard notation for the area of a triangle. Δ is sometimes used for the discriminant of a quadratic equation, but I have never seen it used for area of any kind.Wrichik Basu said:The area of Triangle, the standard notation used in Trigonometry.
Mark44 said:No, this is not standard notation for the area of a triangle. Δ is sometimes used for the discriminant of a quadratic equation, but I have never seen it used for area of any kind.