Andreas C
- 196
- 20
Following the "enormous success" (it received a single like) of the last riddle, I decided to waste some bandwidth with a sequel! This one doesn't have an interesting concept or an unexpected solution, it's just hard to solve, so if you're looking for such a riddle, do yourself a favor and ignore this one. Sorry for the waste of time and happy solving!
The Story
Our hero from the last riddle, Theseus You (I had to explain why I referenced him as "you" in the last riddle somehow, since I hadn't decided to give him a name yet), in an unexpected twist of luck, guessed exactly 5 diamond and 2 amethyst rings right, granting him the prize of the precious rings, and perking up the king's interest after explaining to him what he did to maximize his chances! Now he decides he's got to do something with them, so he sells all of them, and decides to gamble them (he's not very good at financial management). He eventually finds a club of dice players playing an unnecessarily convoluted game, called "4+1 Dice", and decides to try his luck!
The Game
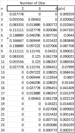
Theseus is given a 6 sided die (die A), which determines how many of the 4 dies on the table will be cast. If die A gets a 1 or a 2, 2 dies will be cast. If it gets a 3 or a 4, 3 dice will be cast. If it gets a 5 or a 6, 4 dice will be cast. What the player has to do now is guess what number the dice add up to from 2 to 24 (before he casts die A), and see whether he guesses right or wrong. He guesses 4 numbers, if the dice turn out to add up to either of these numbers, he wins. In order to make it "fair", the process is repeated 2 times, and if the player guesses right at least one of two times, he wins.
Example
Yeah, I'm not good at explaining stuff, here's an example: Say the player guesses 5, 2, 9 and 12, and then casts die A. The die gets a 4, so 3 dice are cast. Those 3 dice get 2, 5 and 1, so the result is 2+5+1=8, so the player guessed wrong. However, he hasn't lost yet, he's got one more chance. He can't guess a different number this time though, so his guesses is still 5, 2, 9 and 12. Now he casts die A again, and it gets a 1, so 2 dice are cast. They get 2 and 3, so the result is 2+3=5, which is one of the numbers he guessed, therefore validating the player's guess, and winning him the money of the other players!
The Question
What numbers should Theseus guess to maximize his chances to win? How probable is it that he will guess right? Justify your answer.
Optional Challenges
1. More dice: What if instead of die A deciding between casting 2, 3, or 4 dice, it decides between casting 1 to 6 dice (if die A gets a 1, 1 die is cast, if it gets a 2, 2 dice are cast, etc.)? Can you find a more general rule that sort of helps in these situations?
2. Uneven chances: a) What if instead of using 1 die to decide how many dice will be cast, 2 dice are used (numbers from 2 to 4 mean 2 dice will be cast, 5-8 mean that 3 dice will be cast, 9-12 mean that 4 dice will be cast)? As you have probably noticed, that favors casting 3 dice.
b) Can you find a more general rule that determines what the best 4 numbers to pick are depending on how possible it is for any number of dice to be cast? For example, what if 2 dice are cast 20% of the time, 3 dice are cast 30% of the time, and 4 dice are cast 50% of the time?
That's pretty much it, if you need any clarifications (you probably do, I can't explain things clearly enough) please post your issue, I will try to fix it! If you want to see more of these riddles... No, scrap that, I don't think you do
The Story
Our hero from the last riddle, Theseus You (I had to explain why I referenced him as "you" in the last riddle somehow, since I hadn't decided to give him a name yet), in an unexpected twist of luck, guessed exactly 5 diamond and 2 amethyst rings right, granting him the prize of the precious rings, and perking up the king's interest after explaining to him what he did to maximize his chances! Now he decides he's got to do something with them, so he sells all of them, and decides to gamble them (he's not very good at financial management). He eventually finds a club of dice players playing an unnecessarily convoluted game, called "4+1 Dice", and decides to try his luck!
The Game
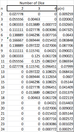
Theseus is given a 6 sided die (die A), which determines how many of the 4 dies on the table will be cast. If die A gets a 1 or a 2, 2 dies will be cast. If it gets a 3 or a 4, 3 dice will be cast. If it gets a 5 or a 6, 4 dice will be cast. What the player has to do now is guess what number the dice add up to from 2 to 24 (before he casts die A), and see whether he guesses right or wrong. He guesses 4 numbers, if the dice turn out to add up to either of these numbers, he wins. In order to make it "fair", the process is repeated 2 times, and if the player guesses right at least one of two times, he wins.
Example
Yeah, I'm not good at explaining stuff, here's an example: Say the player guesses 5, 2, 9 and 12, and then casts die A. The die gets a 4, so 3 dice are cast. Those 3 dice get 2, 5 and 1, so the result is 2+5+1=8, so the player guessed wrong. However, he hasn't lost yet, he's got one more chance. He can't guess a different number this time though, so his guesses is still 5, 2, 9 and 12. Now he casts die A again, and it gets a 1, so 2 dice are cast. They get 2 and 3, so the result is 2+3=5, which is one of the numbers he guessed, therefore validating the player's guess, and winning him the money of the other players!
The Question
What numbers should Theseus guess to maximize his chances to win? How probable is it that he will guess right? Justify your answer.
Optional Challenges
1. More dice: What if instead of die A deciding between casting 2, 3, or 4 dice, it decides between casting 1 to 6 dice (if die A gets a 1, 1 die is cast, if it gets a 2, 2 dice are cast, etc.)? Can you find a more general rule that sort of helps in these situations?
2. Uneven chances: a) What if instead of using 1 die to decide how many dice will be cast, 2 dice are used (numbers from 2 to 4 mean 2 dice will be cast, 5-8 mean that 3 dice will be cast, 9-12 mean that 4 dice will be cast)? As you have probably noticed, that favors casting 3 dice.
b) Can you find a more general rule that determines what the best 4 numbers to pick are depending on how possible it is for any number of dice to be cast? For example, what if 2 dice are cast 20% of the time, 3 dice are cast 30% of the time, and 4 dice are cast 50% of the time?
That's pretty much it, if you need any clarifications (you probably do, I can't explain things clearly enough) please post your issue, I will try to fix it! If you want to see more of these riddles... No, scrap that, I don't think you do
