Affine Algebraic Sets - Dummit and Foote, page 660, Ex. 3

  • Context: Undergrad 
  • Thread starter Thread starter Math Amateur
  • Start date Start date
  • Tags Tags
    Sets
Click For Summary

Discussion Overview

The discussion centers on understanding a specific statement from Example (3) on Page 660 of Dummit and Foote's text on algebraic geometry, particularly regarding the representation of polynomials in the context of affine algebraic sets and Noetherian rings.

Discussion Character

  • Exploratory
  • Technical explanation
  • Mathematical reasoning

Main Points Raised

  • Peter seeks clarification on the expression of a polynomial ##f(x,y)## in the form ##f(x,y) = f_0(x) + f_1(x)y + (x^3 - y^2) g(x,y)## as stated in the text.
  • One participant suggests considering ##f(x,y)## as a polynomial in ##y## and outlines a method to express it by gathering terms that do not contain ##y## into ##f_0## and ##f_1##.
  • This participant explains that terms involving higher powers of ##y## can be expressed in terms of ##(x^3 - y^2)## and another polynomial, which contributes to the construction of ##g(x,y)##.
  • Another participant summarizes that in the context of a domain R, polynomials can be divided by those whose leading coefficient is a unit, and discusses the implications of this for the polynomial structure in the ring ##k[X][Y]##.
  • There is a mention of the importance of ensuring the zero locus retains as much information as possible, particularly in relation to algebraically closed fields.

Areas of Agreement / Disagreement

Participants express various methods and reasoning regarding the polynomial representation, but there is no consensus on a singular approach or interpretation of the example. Multiple viewpoints and methods are presented without resolution.

Contextual Notes

Participants discuss the process of polynomial division and the implications of the structure of polynomials in the context of algebraic geometry, but the discussion does not resolve the underlying assumptions or the completeness of the mathematical steps involved.

Who May Find This Useful

This discussion may be useful for students and researchers interested in algebraic geometry, particularly those studying polynomial representations and the structure of affine algebraic sets.

Math Amateur
Gold Member
MHB
Messages
3,920
Reaction score
48
I am trying to gain an understanding of the basics of elementary algebraic geometry and am reading Dummit and Foote Chapter 15: Commutative Rings and Algebraic Geometry ...

At present I am focused on Section 15.1 Noetherian Rings and Affine Algebraic Sets ... ...

I need someone to help me to fully understand the reasoning/analysis behind one of the statements in Example (3) on Page 660 of D&F ...

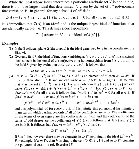
On page 660 (in Section 15.1) of D&F we find the following text and examples (I am specifically focused on Example (3)):
?temp_hash=90edf888d4a48ef79bbbb2b712fc9e1e.png

In the above text, in Example (3), we find the following:

"... ... For any polynomial ##f(x,y) \in k[x,y]## we can write

##f(x,y) = f_0(x) + f_1(x)y + (x^3 - y^2) g(x,y).##"Can someone explain (
frown.png
slowly and carefully) exactly how/why this is true ... ...

Peter====================================================

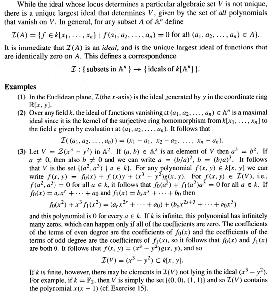
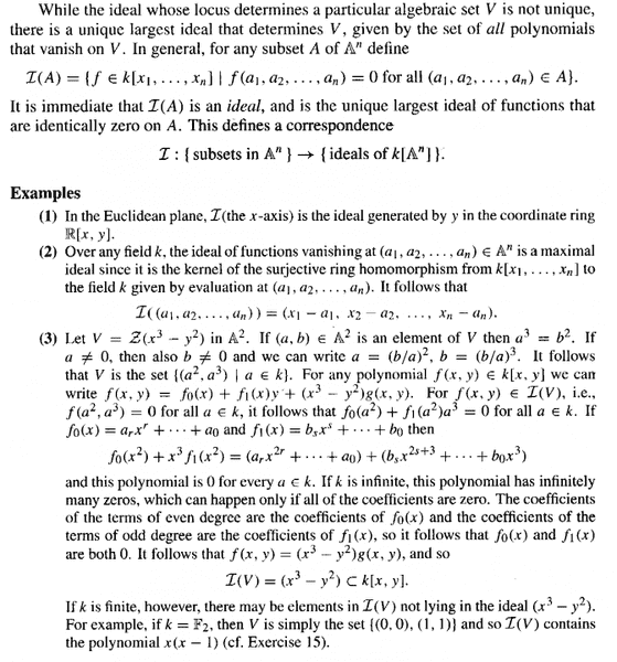
In order for readers of the above post to understand the context of the question and the notation employed I am providing the introductory pages on affine algebraic sets in the D&F text ... ... as follows:
?temp_hash=90edf888d4a48ef79bbbb2b712fc9e1e.png

?temp_hash=90edf888d4a48ef79bbbb2b712fc9e1e.png

?temp_hash=90edf888d4a48ef79bbbb2b712fc9e1e.png
 

Attachments

  • D&F - 1 - Affine Algebraic Sets - Examples ... .png
    D&F - 1 - Affine Algebraic Sets - Examples ... .png
    52 KB · Views: 897
  • D&F - 1 - Affine Algebraic Sets - Ch 15 - Page 1.png
    D&F - 1 - Affine Algebraic Sets - Ch 15 - Page 1.png
    42.1 KB · Views: 899
  • D&F - 2 - Affine Algebraic Sets - Ch 15 - Page 2    ... .png
    D&F - 2 - Affine Algebraic Sets - Ch 15 - Page 2 ... .png
    49.4 KB · Views: 823
  • D&F - 3 - Affine Algebraic Sets - Ch 15 - Page 3    ... .png
    D&F - 3 - Affine Algebraic Sets - Ch 15 - Page 3 ... .png
    48.8 KB · Views: 835
Physics news on Phys.org
Math Amateur said:
I am trying to gain an understanding of the basics of elementary algebraic geometry and am reading Dummit and Foote Chapter 15: Commutative Rings and Algebraic Geometry ...

At present I am focused on Section 15.1 Noetherian Rings and Affine Algebraic Sets ... ...

I need someone to help me to fully understand the reasoning/analysis behind one of the statements in Example (3) on Page 660 of D&F ...

On page 660 (in Section 15.1) of D&F we find the following text and examples (I am specifically focused on Example (3)):
?temp_hash=90edf888d4a48ef79bbbb2b712fc9e1e.png

In the above text, in Example (3), we find the following:

"... ... For any polynomial ##f(x,y) \in k[x,y]## we can write

##f(x,y) = f_0(x) + f_1(x)y + (x^3 - y^2) g(x,y).##"Can someone explain (
frown.png
slowly and carefully) exactly how/why this is true ... ...

Peter

Hi Peter,

let us start and consider ##f(x,y)## as polynomial in ##y##. Then it can be written:
##f(x,y) = c_0 \cdot f_0(x) + c_1 \cdot y \cdot f_1(x) + c_2 \cdot y^2 \cdot f_2(x) + \dots##
What we are doing next is to gather everything, that "disturbs" us and putting it into the terms ##f_0## and ## f_1##.
There are no restrictions on those, beside that they aren't allowed to contain ##y##'s. so our first substitution will be ##f_0^{new} = c_0 f_0## and ##f_1^{new} = c_1 f_1##. For the next steps I will drop the ##^{new}## because it is not necessary to keep a record on them.

Now ##c_2 \cdot y^2 \cdot f_2(x) = c_2 \cdot y^2 \cdot (d_0 + d_1 \cdot x + d_2 \cdot x^2 + \dots) = c_2d_0 y^2 + c_2d_1xy^2+c_2d_2x^2y^2 + \dots## and every term is of the form ##e_n \cdot x^n \cdot y^2.##
This can be written as ##e_n \cdot x^n \cdot y^2 = (x^3-y^2) \cdot (-e_n x^n) + e_n \cdot x^{n+3}.##
The first factor at ##(x^3-y^2)## will be used to build up ##g(x,y)## and the second will be added to ##f_0.##

You can proceed this way with every following term ##c_n y^n f_n(x) \; (n>2)##, i.e. perform the long division on polynomials.
 
  • Like
Likes   Reactions: WWGD and Math Amateur
To summarize fresh34's nice answer, for any domain R, we can divide by any polynomial in the ring R[Y] whose lead coefficient is a unit. E.g. we can always divide by Y^2 + aY + b. Moreover, as is usual in long division, the remainder has lower degree than the divisor.

Thus if we take R = k[X], then in the ring R[Y] = k[X][Y] ≈ k[X,Y], we can divide any polynomial by Y^2 - X^3, and get a remainder of degree lower than 2 (in Y). I.e. the remainder will have form f1Y + f0 where f0 and f1 lie in the coefficient ring k[X].

The point of this somewhat tedious example is to illustrate that over a finite field, one does not keep much information about a polynomial from looking only where it vanishes, since over Z/2Z, any multiple of the polynomial x(x-1) vanishes everywhere. to insure that the zero locus has as much information as possible, one usually assumes the field algebraically closed. see e.g. hilbert's nullstellensatz in DF, p.675.
 
Last edited:
  • Like
Likes   Reactions: Math Amateur
fresh_42 said:
Hi Peter,

let us start and consider ##f(x,y)## as polynomial in ##y##. Then it can be written:
##f(x,y) = c_0 \cdot f_0(x) + c_1 \cdot y \cdot f_1(x) + c_2 \cdot y^2 \cdot f_2(x) + \dots##
What we are doing next is to gather everything, that "disturbs" us and putting it into the terms ##f_0## and ## f_1##.
There are no restrictions on those, beside that they aren't allowed to contain ##y##'s. so our first substitution will be ##f_0^{new} = c_0 f_0## and ##f_1^{new} = c_1 f_1##. For the next steps I will drop the ##^{new}## because it is not necessary to keep a record on them.

Now ##c_2 \cdot y^2 \cdot f_2(x) = c_2 \cdot y^2 \cdot (d_0 + d_1 \cdot x + d_2 \cdot x^2 + \dots) = c_2d_0 y^2 + c_2d_1xy^2+c_2d_2x^2y^2 + \dots## and every term is of the form ##e_n \cdot x^n \cdot y^2.##
This can be written as ##e_n \cdot x^n \cdot y^2 = (x^3-y^2) \cdot (-e_n x^n) + e_n \cdot x^{n+3}.##
The first factor at ##(x^3-y^2)## will be used to build up ##g(x,y)## and the second will be added to ##f_0.##

You can proceed this way with every following term ##c_n y^n f_n(x) \; (n>2)##, i.e. perform the long division on polynomials.
Thanks fresh_42 ... that post was most helpful ...

You really helped me when you wrote:

"This can be written as ##e_n \cdot x^n \cdot y^2 = (x^3-y^2) \cdot (-e_n x^n) + e_n \cdot x^{n+3}.##
The first factor at ##(x^3-y^2)## will be used to build up ##g(x,y)## and the second will be added to ##f_0.##"

I was really perplexed at how to deal with this situation ...

Thanks again for the help,

Peter
 
mathwonk said:
To summarize fresh34's nice answer, for any domain R, we can divide by any polynomial in the ring R[Y] whose lead coefficient is a unit. E.g. we can always divide by Y^2 + aY + b. Moreover, as is usual in long division, the remainder has lower degree than the divisor.

Thus if we take R = k[X], then in the ring R[Y] = k[X][Y] ≈ k[X,Y], we can divide any polynomial by Y^2 - X^3, and get a remainder of degree lower than 2 (in Y). I.e. the remainder will have form f1Y + f0 where f0 and f1 lie in the coefficient ring k[X].

The point of this somewhat tedious example is to illustrate that over a finite field, one does not keep much information about a polynomial from looking only where it vanishes, since over Z/2Z, any multiple of the polynomial x(x-1) vanishes everywhere. to insure that the zero locus has as much information as possible, one usually assumes the field algebraically closed. see e.g. hilbert's nullstellensatz in DF, p.675.
Thanks mathwonk ... really helpful to get a general perspective on this matter ...

Thank you for moving my understanding forward ... really appreciate it ...

Peter
 
You're welcome. It's always a pleasure to read your carefully prepared and precise questions.
 
  • Like
Likes   Reactions: Math Amateur

Similar threads

Replies
2
Views
2K
  • · Replies 3 ·
Replies
3
Views
2K
Replies
2
Views
2K
  • · Replies 3 ·
Replies
3
Views
2K
Replies
1
Views
2K
Replies
3
Views
3K
  • · Replies 4 ·
Replies
4
Views
2K
  • · Replies 2 ·
Replies
2
Views
2K
Replies
4
Views
2K
Replies
2
Views
2K