Affine Algebraic Sets - Properties of the map I - Dummit and Foote, page 661

  • Context: MHB 
  • Thread starter Thread starter Math Amateur
  • Start date Start date
  • Tags Tags
    Map Properties Sets
Click For Summary
SUMMARY

This discussion centers on the properties of affine algebraic sets as outlined in Dummit and Foote's "Abstract Algebra," specifically Chapter 15, Section 15.1. The key focus is on the relationship between the maps $$\mathcal{Z}$$ and $$\mathcal{I}$$, which act as inverses under certain restrictions to ideals in $$k[\mathbb{A}^n]$$. The user, Peter, seeks clarification on why property (10) necessitates this restriction, particularly when the ideals are defined for arbitrary subsets $$A$$ of $$\mathbb{A}^n$$. The discussion highlights the importance of understanding the closure properties of algebraic sets and the implications of these mappings in algebraic geometry.

PREREQUISITES
  • Understanding of Noetherian rings and their properties
  • Familiarity with the concepts of affine algebraic sets
  • Knowledge of the maps $$\mathcal{Z}$$ and $$\mathcal{I}$$ in algebraic geometry
  • Basic proficiency in polynomial rings, specifically $$k[\mathbb{A}^n]$$
NEXT STEPS
  • Study the definitions and properties of Noetherian rings in detail
  • Explore the concept of closure in algebraic geometry, particularly in relation to affine sets
  • Learn about the bijective relationships between subsets of $$\mathbb{A}^n$$ and ideals in $$k[x_1, \ldots, x_n]$$
  • Investigate examples of polynomial ideals and their zero sets to solidify understanding of $$\mathcal{Z}$$ and $$\mathcal{I}$$
USEFUL FOR

This discussion is beneficial for students and researchers in algebraic geometry, particularly those studying the foundational aspects of affine algebraic sets and their properties as presented in Dummit and Foote's work. It is also valuable for mathematicians seeking to deepen their understanding of the interplay between algebraic sets and polynomial ideals.

Math Amateur
Gold Member
MHB
Messages
3,920
Reaction score
48
I am trying to gain an understanding of the basics of elementary algebraic geometry and am reading Dummit and Foote Chapter 15: Commutative Rings and Algebraic Geometry ...

At present I am focused on Section 15.1 Noetherian Rings and Affine Algebraic Sets ... ...

I need someone to help me to fully understand the reasoning/analysis following the listing of some properties of $$\mathcal{I}$$ ... in particular the reasoning pertaining to property (10) ... ...

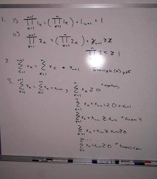
The relevant text from D&F page 661 is as follows:View attachment 4828In the above text we see the following statement by D&F:

" ... ... The last relation shows the maps $$\mathcal{Z}$$ and $$\mathcal{I}$$ act as inverses of each other provided one restricts to the collection of affine algebraic sets $$ V = \mathcal{Z} (I) \text{ in } \mathbb{A}^n$$ and to the set of ideals in $$k [ \mathbb{A}^n ]$$ of the form $$\mathcal{I} (V)$$ ... ... "I cannot see why we have to restrict to ideals in $$k [ \mathbb{A}^n ]$$ of the form $$\mathcal{I} (V)$$ when property 10 is stated in terms of ideals $$I = \mathcal{I} (A)$$ where $$A$$ is an arbitrary subset of $$\mathbb{A}^n$$ ... and hence NOT restricted to an affine algebraic set $$V$$ ... ... ?

Can someone please help me to clarify this issue/problem ... ?

Peter
***EDIT***

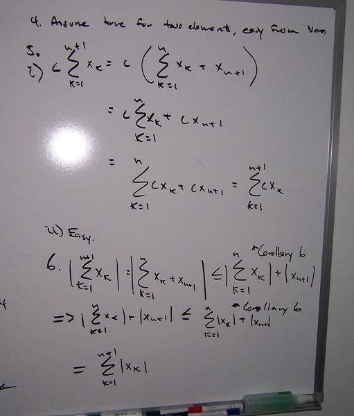
To ensure MHB readers understand the notation and context of the above post I am providing D&F's definitions of $$\mathcal{Z}$$ and $$\mathcal{I}$$, as follows:View attachment 4829
View attachment 4830View attachment 4831
 
Last edited:
Physics news on Phys.org
Note that if I take an arbitrary subset $$A \subseteq \mathbb{A}^n$$, the zeroes of any polynomial vanishing on all of $$A$$ may be much larger than the set $$A$$. Let's look at an example: let $$k = \mathbb{C}$$ and $$A = \mathbb{Z} \subseteq \mathbb{A}^1$$. Then for a polynomial $$f \in \mathbb{C}[x]$$ to be in $$\mathcal{I}(A)$$, $f(a) = 0$ for every integer $a$. But the only polynomial in 1 variable with infinitely many zeroes is the zero polynomial. Hence $\mathcal{I}(A) = \{0\}$. We note in this case, since everything is a zero of the zero polynomial, $\mathcal{Z}(\mathcal{I}(A)) = \mathcal{Z}(\{0\}) = \mathbb{A}^1$.

In effect, $\mathcal{Z}(\mathcal{I}(A))$ fills in all of the missing parts of $A$ to give you the smallest algebraic set containing the original $A$. The closure, if you will.

By a similar token, $\mathcal{I}(\mathcal{Z}(S))$ takes an arbitrary subset $S \subseteq k[x_1,\ldots,x_n]$ and returns a certain kind of ideal of $k[x_1,\ldots,x_n]$.

Let's look at a quick example: let $S = \{x^2\} \subseteq k[x]$. Then $\mathcal{Z}(\{x^2\})$ is the set of points of $\mathbb{A}^1$ for which $x^2$ evaluates to zero. Clearly this is the single point $0$. Hence $\mathcal{Z}(\{x^2\}) = \{0\}$. Now $\mathcal{I}(\mathcal{Z}(\{x^2\})) = \mathcal{I}(\{0\})$, but any function divisible by $x$ has $0$ as a root (and these are all such functions), hence we have $\mathcal{I}(\mathcal{Z}(\{x^2\})) = xk[x] = (x)$. So we started with the single element $x^2$ and we got the entire ideal generated by $x$.
In general, both $\mathcal{Z}(\mathcal{I}(-))$ and $\mathcal{I}(\mathcal{Z}(-))$ are both processes which enlarge sets. In particular, both the maps $\mathcal{Z}(-)$ and $\mathcal{I}(-)$ are not injective in general (we've effectively given examples in the case of $\mathbb{A}^1$) so we can only hope that these maps can make a bijection between carefully chosen subsets of $\mathbb{A}^n$ and carefully chosen ideals of $k[x_1\ldots,x_n]$. The content of D&F's claim is that we do, indeed, get the bijection we're hoping for.
 
Turgul said:
Note that if I take an arbitrary subset $$A \subseteq \mathbb{A}^n$$, the zeroes of any polynomial vanishing on all of $$A$$ may be much larger than the set $$A$$. Let's look at an example: let $$k = \mathbb{C}$$ and $$A = \mathbb{Z} \subseteq \mathbb{A}^1$$. Then for a polynomial $$f \in \mathbb{C}[x]$$ to be in $$\mathcal{I}(A)$$, $f(a) = 0$ for every integer $a$. But the only polynomial in 1 variable with infinitely many zeroes is the zero polynomial. Hence $\mathcal{I}(A) = \{0\}$. We note in this case, since everything is a zero of the zero polynomial, $\mathcal{Z}(\mathcal{I}(A)) = \mathcal{Z}(\{0\}) = \mathbb{A}^1$.

In effect, $\mathcal{Z}(\mathcal{I}(A))$ fills in all of the missing parts of $A$ to give you the smallest algebraic set containing the original $A$. The closure, if you will.

By a similar token, $\mathcal{I}(\mathcal{Z}(S))$ takes an arbitrary subset $S \subseteq k[x_1,\ldots,x_n]$ and returns a certain kind of ideal of $k[x_1,\ldots,x_n]$.

Let's look at a quick example: let $S = \{x^2\} \subseteq k[x]$. Then $\mathcal{Z}(\{x^2\})$ is the set of points of $\mathbb{A}^1$ for which $x^2$ evaluates to zero. Clearly this is the single point $0$. Hence $\mathcal{Z}(\{x^2\}) = \{0\}$. Now $\mathcal{I}(\mathcal{Z}(\{x^2\})) = \mathcal{I}(\{0\})$, but any function divisible by $x$ has $0$ as a root (and these are all such functions), hence we have $\mathcal{I}(\mathcal{Z}(\{x^2\})) = xk[x] = (x)$. So we started with the single element $x^2$ and we got the entire ideal generated by $x$.
In general, both $\mathcal{Z}(\mathcal{I}(-))$ and $\mathcal{I}(\mathcal{Z}(-))$ are both processes which enlarge sets. In particular, both the maps $\mathcal{Z}(-)$ and $\mathcal{I}(-)$ are not injective in general (we've effectively given examples in the case of $\mathbb{A}^1$) so we can only hope that these maps can make a bijection between carefully chosen subsets of $\mathbb{A}^n$ and carefully chosen ideals of $k[x_1\ldots,x_n]$. The content of D&F's claim is that we do, indeed, get the bijection we're hoping for.
Thanks so much for the help, Turgul ... I had nearly given up on the elements of basic algebraic geometry ... much obliged for the help ...

... will be working through your post carefully, shortly

Thanks again,

Peter
 
Last edited:

Similar threads

  • · Replies 21 ·
Replies
21
Views
2K
Replies
2
Views
2K
  • · Replies 1 ·
Replies
1
Views
2K
Replies
2
Views
2K
  • · Replies 3 ·
Replies
3
Views
2K
  • · Replies 13 ·
Replies
13
Views
3K
  • · Replies 5 ·
Replies
5
Views
2K
Replies
2
Views
2K
  • · Replies 15 ·
Replies
15
Views
2K
  • · Replies 5 ·
Replies
5
Views
2K