Algebra problem involving square roots

Click For Summary

Homework Help Overview

The discussion revolves around an algebra problem involving square roots and absolute values, specifically within the constraints of the interval 1 < x < 3. Participants are attempting to simplify an expression and understand the implications of absolute values in this context.

Discussion Character

  • Exploratory, Conceptual clarification, Mathematical reasoning, Assumption checking

Approaches and Questions Raised

  • Participants discuss the process of simplifying the expression involving square roots and absolute values, questioning how to handle the given interval. There are attempts to clarify the meaning of absolute values and how they apply to the specific terms in the expression.

Discussion Status

Some participants have provided guidance on how to approach the problem, particularly regarding the treatment of absolute values based on the defined interval. Multiple interpretations of the problem are being explored, with ongoing questions about the implications of different intervals and the signs of the expressions involved.

Contextual Notes

Participants are navigating the definitions and properties of square roots and absolute values, particularly in relation to the specified interval. There is an emphasis on understanding how to determine the positivity or negativity of expressions within the given domain.

Kevin Licer
Messages
21
Reaction score
0
Member warned about posting with no template
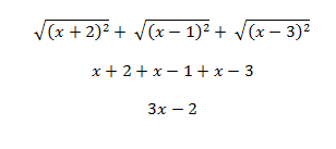
So I stumbled upon this problem:
Solve:
nejasno.png


And I have attempted to solve it, however my solution doesn't match that of the book.
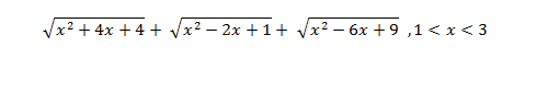
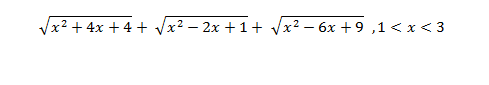
nejasno1.png

The solution should be x+4, but I don't have a clue how to get to that. I'm sorry if this seems pretty rudimentary, but I just want some help because it's the first time I've dealt with an equation like this (1<x<3 what should I do with that?). Any help is appreciated. Thanks!
 
Physics news on Phys.org
When the last sq.root goes,what remains is the absolute value,so you are left woth (-x+3) because x<3
 
  • Like
Likes   Reactions: DEvens
So the solution is going to be |3x-2|? Sorry if I'm not getting this, but could you please do it step by step, I'm really bad at this.
 
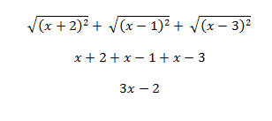
Kevin Licer said:
So I stumbled upon this problem:
Solve:
View attachment 88442

And I have attempted to solve it, however my solution doesn't match that of the book.
View attachment 88443
The solution should be x+4, but I don't have a clue how to get to that. I'm sorry if this seems pretty rudimentary, but I just want some help because it's the first time I've dealt with an equation like this (1<x<3 what should I do with that?). Any help is appreciated. Thanks!
Technically, you aren't "solving" anything -- that term is applied to equations or inequalities. What you are doing is simplifying the given expression.
In your work you have
$$\sqrt{(x + 2)^2} + \sqrt{(x - 1)^2} + \sqrt{(x - 3)^2}, 1 < x < 3$$
$$= |x + 2| + |x - 1| + |x - 3|$$
You need to take the absolute value expressions on the given interval, 1 < x < 3, into consideration.
 
What is meant is that $$\sqrt{x^2}=|x|$$

Then you have to check if your x in your case x+2, x-1, x-3 are positve or negative in the domain 1<x<3.
 
Last edited:
So, because we need to take the given interval into consideration, we take the absolute value of each term? So that would be the final "simplification" and not x+4?
 
If you consider only the interval given it will give x+4

But on other intervals the solution will be different.

And sometimes we have to choose the sign of the square root depending on the definition.
 
But how do I check if my x in x+2, x-1, x-3 is positive or negative? And could you give an example of how it would be if the domain was slightly different? Apologies if I may be annoying you with too many questions, but I want to truly understand.
 
For example if 1<x<3 is x+2 positive or negative ?
 
  • #10
Positive?
 
  • #11
Yes it runs from 3 to 5, so |x+2|=x+2 for x in that domain.

Now you do the same reasoning for x-1 and x-3 so you find ?
 
  • #12
jk22 said:
And sometimes we have to choose the sign of the square root depending on the definition.
I'm not sure what you're saying here. By definition and long usage, the square root of a positive number is positive. In symbols, if x > 0, ##\sqrt{x} > 0##.
 
  • #13
So what happens if it's negative, for x-1 and x-3? How would I do it now?
 
  • #14
You notice that x-1 is positive whereas x-3 is negative for 1<x<3

Hence |x-1|=x-1 and |x-3|=-(x-3)=3-x

Then you make the sum : x+2+x-1+3-x=?
 
  • #15
Oh, now I see. Well thank you and everyone else for clarifying and helping me understand this problem. Thanks a bunch!
 

Similar threads

  • · Replies 21 ·
Replies
21
Views
2K
Replies
3
Views
3K
  • · Replies 12 ·
Replies
12
Views
3K
  • · Replies 14 ·
Replies
14
Views
2K
  • · Replies 6 ·
Replies
6
Views
3K
  • · Replies 23 ·
Replies
23
Views
3K
  • · Replies 12 ·
Replies
12
Views
4K
  • · Replies 7 ·
Replies
7
Views
3K
  • · Replies 8 ·
Replies
8
Views
2K
  • · Replies 3 ·
Replies
3
Views
2K