Are My Answers Correct for These Ratio Math Problems?

  • Context: MHB 
  • Thread starter Thread starter Alexstrasuz1
  • Start date Start date
  • Tags Tags
    Ratio Simplify
Click For Summary

Discussion Overview

The discussion revolves around the correctness of answers provided for three ratio math problems. Participants seek clarification and assistance in simplifying mathematical expressions, with a focus on the accuracy of the solutions presented.

Discussion Character

  • Homework-related
  • Technical explanation
  • Conceptual clarification
  • Debate/contested

Main Points Raised

  • One participant presents three ratio problems and their corresponding answers, seeking validation.
  • Another participant requests clarification on the mathematical expressions, suggesting the use of parentheses for better understanding.
  • There is a suggestion that if "17" in the first problem is a typo for "1.7," then the answer of 3 could be correct.
  • One participant confirms the answer to the second problem is correct.
  • There is disagreement regarding the third problem, with one participant stating the answer is wrong and requesting the working steps to identify errors.
  • Another participant proposes an alternative expression for the third question, but this is met with correction, indicating it is not the right answer.
  • A later reply encourages the original poster, acknowledging their potential in simplifying ratios.

Areas of Agreement / Disagreement

Participants generally do not reach consensus on the correctness of the answers, particularly for the third problem, where multiple views and corrections are presented. The discussion remains unresolved regarding the final answer for that question.

Contextual Notes

There are limitations in the clarity of the mathematical expressions presented, which may affect the ability to evaluate the answers accurately. The discussion also highlights the importance of proper formatting in mathematical communication.

Who May Find This Useful

Students seeking assistance with ratio problems, individuals interested in mathematical expression simplification, and those looking for guidance on forum etiquette in academic discussions.

Alexstrasuz1
Messages
20
Reaction score
0
Hellow I did these three math problems and I wonder if my answers are right.

(1.03 : 10^-1 + 17) : (4.5^-1 + 5/18)^-2 my answer here is 3.

(0.2 : 10^-2 -2 ) : (1/0.9 - 1)^-1 my answer here is 2.

Now the last one
1/a^2+a - a+2/a+1 + a+1/a and here my anser is 2.

Thank you.
 
Mathematics news on Phys.org
Alexstrasuz said:
Hellow I did these three math problems and I wonder if my answers are right.

(1.03 : 10^-1 + 17) : (4.5^-1 + 5/18)^-2 my answer here is 3.

(0.2 : 10^-2 -2 ) : (1/0.9 - 1)^-1 my answer here is 2.

Now the last one
1/a^2+a - a+2/a+1 + a+1/a and here my anser is 2.

Thank you.

Hello Alexstrasuz, welcome to MHB!

Your way of expressing the mathematics expressions are quite confusing. Please help us to clarify the three mathematics expressions that you have typed there so that we can help you.:)

My advice is use the parentheses when necessary, take your second mathematics expression for example, if you meant $\left(\dfrac{0.2}{10^{-2}}-2\right):\left(\dfrac{1}{0.9}-1 \right)^{-1}$, you can express it as [(0.2)/(10^(-2)) -2]/[(1)/(0.9)-1]^(-1).
 

Attachments

  • math.jpg
    math.jpg
    71.9 KB · Views: 117
Alexstrasuz said:
View attachment 3004
Here you go a image

Question 1:

If 17 is a typo and it is meant to be 1.7, then 3 is the correct answer.

Question 2:

Correct.

Question 3:

Wrong. Show your working so that we can guide you through it.

On another note, I want to remind you that it's best to use the title that is brief with the best description of what your question is about, this is to improve the chance of your thread being viewed and answered by our helpers. I will hence rename the title of this post as "How to simplify ratio", don't you agree that sounds like more of a suitable title for this thread?:)

Also, we encourage students do not ask more than two questions in a thread or post. It is better both for forum organization, and better for you to get your questions answered in a more timely manner.
 
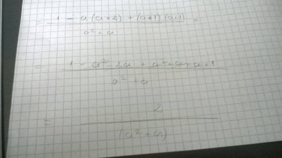
Is the answer to third question 2/ (a^2)+2
 
Alexstrasuz said:
Is the answer to third question 2/ (a^2)+2

I'm sorry, but nope. You are wrong again this time. Can you show us your working so that we can pinpoint the exact step where you did wrong?
 
View attachment 3005

Here you go.
Ty for leading me how to use forum. Ill post by the rules next time.
 

Attachments

  • math2.jpg
    math2.jpg
    61.8 KB · Views: 117
Do you notice how you mentioned of you gotten $\dfrac{2}{a^2}+2$ but in fact, you have obtained the right answer $(\dfrac{2}{a^2+a})$ for the third question?:)

I believe you are quite capable in simplifying ratios, keep up the good work!
 
Yea, I just noticed that. Thank you for motivation words, I always loved math but I did stupid things when HS started so I am trying to get back into shape for college next year. :)
 

Similar threads

  • · Replies 13 ·
Replies
13
Views
2K
  • · Replies 16 ·
Replies
16
Views
3K
  • · Replies 1 ·
Replies
1
Views
2K
Replies
2
Views
2K
Replies
3
Views
2K
  • · Replies 1 ·
Replies
1
Views
2K
  • · Replies 5 ·
Replies
5
Views
3K
  • · Replies 6 ·
Replies
6
Views
3K
  • · Replies 2 ·
Replies
2
Views
3K
  • · Replies 32 ·
2
Replies
32
Views
2K