Block sliding on a semicircular track with friction

  • Thread starter Thread starter zuzelle
  • Start date Start date
Click For Summary

Homework Help Overview

The discussion revolves around a block sliding on a semicircular track with friction, focusing on the dynamics involved as the block moves along the track. Participants explore the effects of changing angles and velocities on friction and centripetal force, as well as the application of energy conservation principles.

Discussion Character

  • Exploratory, Conceptual clarification, Mathematical reasoning, Assumption checking

Approaches and Questions Raised

  • Participants discuss using small angle approximations and differentials to analyze the motion, while others suggest avoiding differentials initially and instead applying standard work-energy principles. There are inquiries about the correctness of equations and the relationships between angular and linear variables.

Discussion Status

Several participants have provided guidance on formulating equations and suggested methods for transforming the problem into a solvable form. There is an ongoing examination of the assumptions made regarding forces and the correct application of trigonometric functions in the context of the problem.

Contextual Notes

Some participants question the appropriateness of certain trigonometric functions in the equations, particularly in relation to the tangential acceleration at the starting point of the motion. There is also mention of the need to clarify the relationship between angular and linear variables to avoid confusion in the analysis.

zuzelle
Messages
6
Reaction score
1
Homework Statement
A block of mass m rests at point A on a circular track of radius r with coefficient of friction u. It is then released with no initial speed. Find the dependance of velocity on angle, v(theta).
Relevant Equations
Potential Energy = mgh
Kinetic Energy = mv^2/2
Work done by a force = F*S
Centripetal force = mv^2/R
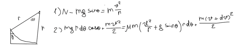
Since the friction is constantly changing because of both angle change and velocity change, I took a very small angle dθ, so that while the block is covering it, its velocity would change by dv, its height by rdθ*cosθ and the friction force wouldn't change much, because N isn't changing either.
1712748511528.png

Then, I wrote the equation for centripetal force:
N - mgsin(θ) =
1712748721092.png


FBD:
1712749914538.png


Next, I thought of writing conservation of energy for this small displacement:
Potential energy + Kinetic energy = Work by friction on this small displacement + Kinetic Energy after.

So I got this:
1712749039547.png

And I am not sure if this is right, because I end up getting an equation with differentials left, and it doesn't make sense. Could someone help, please?
 

Attachments

  • 1712748555183.png
    1712748555183.png
    7.6 KB · Views: 137
  • 1712748791367.png
    1712748791367.png
    1.9 KB · Views: 99
  • 1712748971900.png
    1712748971900.png
    7 KB · Views: 103
Last edited:
Physics news on Phys.org
Share a FBD of the block at some angle ##\theta##.
 
erobz said:
Share a FBD of the block at some angle ##\theta##.
Okay
 
zuzelle said:
Okay
Maybe dont work with the differentials in Work-Energy right away. Write Work-Energy in the standard way and differentiate w.r.t. ##\theta##. So you will have your normal terms plus an integral ( representing the work done by the friction force up to some angle ##\theta## ) in the first step. Then that result will be differentiated w.r.t ##\theta## to get the first order-nonlinear ODE.

I think it can be transformed into a linear ODE from there with a standard substition technique and solved with integration factor technique.
 
Last edited:
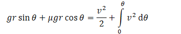
Excuse me for asking again, like this?
 

Attachments

  • 1712760056140.png
    1712760056140.png
    2.7 KB · Views: 130
  • 1712760876453.png
    1712760876453.png
    3.7 KB · Views: 118
Start with ##~N=mg\sin\theta +m\omega^2r.~## Using ##\omega## is preferable because linear variables (##v##) and angular variables (##\theta##) are not mixed. The force of friction is
##f_k=\mu(mg\sin\theta +m\omega^2r)## and the Newton's second law in the tangential direction of motion is
##ma_t=mr\dfrac{d\omega}{dt}=mg\cos\theta-\mu(mg\sin\theta +m\omega^2r).##
Following @erobz's suggestion
erobz said:
I think it can be transformed into a linear ODE from there with a standard substition technique and solved with integration factor technique.
##\dfrac{d\omega}{dt}=\dfrac{d\omega}{d\theta}\dfrac{d\theta}{dt}=\omega\dfrac{d\omega}{d\theta}## Now you see the reason for ditching variable ##v##. The differential equation you have to solve is $$m\omega\dfrac{d\omega}{d\theta}=mg\cos\theta-\mu(mg\sin\theta +m\omega^2r).$$ It should give you ##\omega(\theta)## from which getting ##v(\theta)## is trivial since ##r## is constant.

(Edited to fix typo in equation. See posts #10 and #11)
 
Last edited:
  • Like
Likes   Reactions: zuzelle
zuzelle said:
Excuse me for asking again, like this?
Your equation on the left becomes:

$$ 0 = -mgr \sin \theta + \frac{1}{2}m v^2 + \mu m r \int \left( \frac{v^2}{r} + g \sin \theta \right) d\theta $$

Now differentiate both sides with respect to ##\theta##.

EDIT: Going from Newtons Laws obviously works too (also more direct) as @kuruman showed.
 
Last edited:
  • Like
Likes   Reactions: zuzelle
Also, so we can quote your equations that follow, please take a moment to learn the math formatting from LaTeX Guide
 
  • Like
Likes   Reactions: zuzelle
kuruman said:
Start with ##~N=mg\sin\theta +m\omega^2r.~## Using ##\omega## is preferable because linear variables (##v##) and angular variables (##\theta##) are not mixed. The force of friction is
##f_k=\mu(mg\sin\theta +m\omega^2r)## and the Newton's second law in the tangential direction of motion is
##ma_t=mr\dfrac{d\omega}{dt}=mg\sin\theta-\mu(mg\sin\theta +m\omega^2r).##
Following @erobz's suggestion

##\dfrac{d\omega}{dt}=\dfrac{d\omega}{d\theta}\dfrac{d\theta}{dt}=\omega\dfrac{d\omega}{d\theta}## Now you see the reason for ditching variable ##v##. The differential equation you have to solve is $$m\omega\dfrac{d\omega}{d\theta}=mg\sin\theta-\mu(mg\sin\theta +m\omega^2r).$$ It should give you ##\omega(\theta)## from which getting ##v(\theta)## is trivial since ##r## is constant.
erobz said:
Your equation on the left becomes:

$$ 0 = -mgr \sin \theta + \frac{1}{2}m v^2 + \mu m r \int \left( \frac{v^2}{r} + g \sin \theta \right) d\theta $$

Now differentiate both sides with respect to ##\theta##.

EDIT: Going from Newtons Laws obviously works too as @kuruman showed.
That makes sense, thank you
 
  • Like
Likes   Reactions: erobz
  • #10
kuruman said:
Newton's second law in the tangential direction of motion is
##ma_t=mr\dfrac{d\omega}{dt}=mg\sin\theta-\mu(mg\sin\theta +m\omega^2r).##
Check the first term on the right side. I don't think ##\sin \theta## is the correct trig function here. For example, ##a_t## should equal ##g## at the starting point where ##\theta = 0## and ##\omega = 0##.
 
  • Like
Likes   Reactions: kuruman and erobz
  • #11
TSny said:
Check the first term on the right side. I don't think ##\sin \theta## is the correct trig function here. For example, ##a_t## should equal ##g## at the starting point where ##\theta = 0## and ##\omega = 0##.
Yes. One cannot have the same trig function of ##\theta## for ##N## and ##a_t## which are orthogonal. Nice catch. Typo fixed - thanks.
 
  • Like
Likes   Reactions: TSny

Similar threads

Replies
11
Views
1K
  • · Replies 3 ·
Replies
3
Views
1K
  • · Replies 4 ·
Replies
4
Views
3K
Replies
7
Views
2K
Replies
37
Views
4K
  • · Replies 16 ·
Replies
16
Views
6K
  • · Replies 37 ·
2
Replies
37
Views
2K
Replies
18
Views
3K
Replies
4
Views
4K
Replies
17
Views
4K