Boolean simplification of a larger term?

Click For Summary

Discussion Overview

The discussion revolves around the simplification of a Boolean expression using De Morgan's laws and other Boolean algebra techniques. Participants explore the redundancy of terms and the application of specific laws to achieve simplification.

Discussion Character

  • Technical explanation
  • Mathematical reasoning
  • Debate/contested

Main Points Raised

  • One participant presents a Boolean expression and seeks clarification on the disappearance of the term A'B'CD' after simplification.
  • Another participant suggests that the term A'B'CD' is redundant, prompting a request for the specific laws that establish this redundancy.
  • A different participant emphasizes the importance of consistent notation and points out a potential relationship between A'B'CD' and B'C.
  • One participant acknowledges the absorption law as a key factor in recognizing the redundancy of the term.
  • Another participant proposes a method involving the addition of a term to facilitate simplification, suggesting a counterintuitive approach to the problem.

Areas of Agreement / Disagreement

Participants express varying levels of understanding regarding the simplification process, with some acknowledging the redundancy of certain terms while others seek further clarification on the laws involved. The discussion remains unresolved regarding the specific steps needed for simplification.

Contextual Notes

Participants mention the necessity of listing the laws used in each step, indicating a focus on formal methods in Boolean algebra. There is an emphasis on the manipulation of terms and the exploration of different approaches to simplification.

garthenar
Messages
35
Reaction score
8
Homework Statement
Not a specific hwk problem, but I keep getting stuck at a certain point in my Boolean simplifications. I'm hoping someone can help me figure out what steps/rules I need to apply to further simplify my Boolean expressions.
Relevant Equations
The basic rules/laws/theorems of Boolean Algebra
I'm suspecting consensus theorem in particular.
I was asked to use De Morgans law to find the complement of a particular equation, I applied the law correctly and simplified my solution down to

A'B'CD'+CA+CB'+D'A+D'B'

I ran the problem through a boolean simplifier to check my work. (http://tma.main.jp/logic/logic.php?lang=en&type=eq&eq=~((A+++~(~BC~D))+(~AB+++~CD)+)) and it gave me

CA+CB'+D'A+D'B'

I can't figure out how they got rid of the A'B'CD' term (is that called a term or something else?)

I have run into this situation multiple times and I just can't figure out how to get rid of the larger term (A'B'CD' term in this case). I'm sure it's simple but sometimes you just need a push in the right direction. I suspect it takes multiple steps of manipulation to pull off and that I'm just not seeing how to do that.

I've attached my work so far

1582311290631.png
 
Physics news on Phys.org
garthenar said:
I suspect it takes multiple steps of manipulation to pull off and that I'm just not seeing how to do that.
Why do you think that? The term A'B'CD' has simply disappeared from the sentence, what does this tell you?
 
  • Like
Likes   Reactions: garthenar
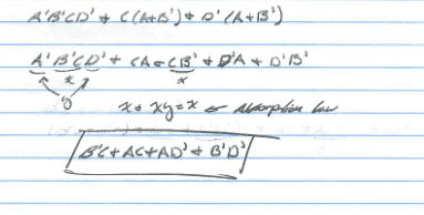
That it's redundant. But I need to know what laws cause it to be redundant. (In my class we're required to list the laws we use with each step.)
 
First of all, write your terms down consistently: A'B'CD'+CA+CB'+D'A+D'B' = A'B'CD'+ AC+B'C+AD'+B'D'. Now look at A'B'CD' alongside B'C; what do you notice?
 
  • Like
Likes   Reactions: garthenar
I notice that I forgot about the absorption law.
1582323980360.png

Thank you. I knew it would be something obvious.
 
  • Like
Likes   Reactions: pbuk
You could agree that ##X+X## is still ##X##?

To simplify your problem (a counter intuitive approach) add another ##\bar A \bar B C \bar D## to the equation so that you have

$$ (\bar A \bar B C \bar D) + AC + \bar B C + (\bar A \bar B C \bar D) + A \bar D + \bar B \bar D$$

Pull the ##C## on the left side and the ##\bar D## on the right side for

$$C(\bar A \bar B \bar D + A + \bar B) + \bar D (\bar A \bar B C + A + \bar B)$$

Simplify the terms within the parenthesis, which I think you'll be able to follow.


Yikes! You already got it. Great job.
 
  • Like
Likes   Reactions: garthenar