Calculate expectation value of entangled 2 state system?

Click For Summary

Homework Help Overview

The discussion revolves around calculating the expectation value of an entangled two-state quantum system, specifically involving eigenstates and projection operators related to a measurement operator.

Discussion Character

  • Exploratory, Conceptual clarification, Mathematical reasoning

Approaches and Questions Raised

  • The original poster attempts to understand the calculation of expectation values and the role of projection operators in quantum mechanics. Some participants suggest using a projection operator to analyze the problem, while others express uncertainty about the conceptual differences between expectation values and projection operators.

Discussion Status

Participants are engaging with the problem by sharing insights on the mathematical approach and conceptual understanding. There is a mix of attempts to clarify definitions and explore the implications of the calculations, but no explicit consensus has been reached.

Contextual Notes

There is a mention of confusion regarding the meaning of expectation values versus projection operators, indicating a need for deeper conceptual understanding. The original poster expresses difficulty in progressing with the problem.

ianmgull
Messages
19
Reaction score
0

Homework Statement



Image_1.jpg

Homework Equations


I know that there are two eigenstates of the operator C:

|B> = (1 0) as a column vector with eigenvalue 1
|R> = (0 1) also a column vector with eigenvalue -1

The Attempt at a Solution


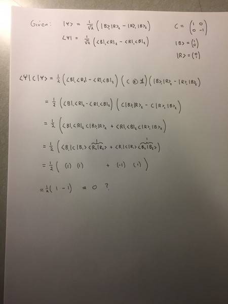
My work is shown here:

IMG_3540.jpg


If anyone could point me in the right direction, I'd greatly appreciate it. I've been stuck for hours and just can't figure out what I'm doing wrong.

thanks

Ian
 

Attachments

  • IMG_3540.jpg
    IMG_3540.jpg
    16.1 KB · Views: 674
Physics news on Phys.org
Use a projection operator. A projector on the red basis would look like [itex]P_R = |R\rangle\langle R|[/itex]. Then (dropping 1 and 2 subscripts, and assuming orthogonal states):

[itex] Prob_R =\frac{1}{2} (\langle B|\langle R| - \langle R|\langle B|)|R\rangle\langle R|(|B\rangle|R\rangle -|R\rangle|B\rangle )=\frac{1}{2}[/itex]

The expectation value of C is the probability that the measurement produces either 1 or -1, so the average result will be 0.
 
I just worked it out and that makes much more sense.

I'm still a little unclear on (conceptually) what meaning I should attribute to taking the expectation value of an operator (like above) vs a projection operator.

Thanks so much!
 
The eigenvalues are what can be measured in a lab; an expectation value will give you the average result that will be obtained over a large number of measurements, in this case 0. A projection operator projects the state onto a basis (red or blue) according to a probability, 1/2 here.
 
Awesome.

THANK YOU
 

Similar threads

Replies
38
Views
4K
Replies
1
Views
2K
  • · Replies 11 ·
Replies
11
Views
2K
  • · Replies 14 ·
Replies
14
Views
3K
  • · Replies 12 ·
Replies
12
Views
4K
  • · Replies 5 ·
Replies
5
Views
4K
  • · Replies 4 ·
Replies
4
Views
5K
  • · Replies 3 ·
Replies
3
Views
3K
Replies
7
Views
3K
  • · Replies 11 ·
Replies
11
Views
4K