Calculate the coherent length of this LED

Click For Summary

Homework Help Overview

The discussion revolves around calculating the coherent length of an LED, specifically using given parameters such as center wavelength and bandwidth. The subject area includes optics and coherence length calculations.

Discussion Character

  • Exploratory, Assumption checking, Conceptual clarification

Approaches and Questions Raised

  • Participants explore the definition of bandwidth (Δλ) and whether it refers to FWHM. There are discussions about the coherence length formula and the significance of the constant C used in the calculations. Questions arise regarding the appropriate number of significant figures in the final answer.

Discussion Status

Participants are actively engaging in clarifying assumptions and definitions related to the coherence length calculation. Some guidance has been offered regarding the use of significant figures and the implications of different constants in the formula. There is an acknowledgment of varying interpretations of the formula based on course material.

Contextual Notes

There is mention of specific course conventions regarding the use of constants and definitions, as well as the potential impact of significant figures on grading. Participants are also referencing external calculators that may use different assumptions.

nao113
Messages
68
Reaction score
13
Homework Statement
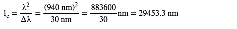
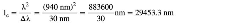
Calculate the coherent length of the following LED.
Center wavelength, λ= 940 nm Width, Δλ= 30 nm
Relevant Equations
I put the equation in the picture below
Screen Shot 2022-06-08 at 16.56.06.png

Answer:
Screen Shot 2022-06-08 at 16.56.11.png
 
Physics news on Phys.org
nao113 said:
Homework Statement:: Calculate the coherent length of the following LED.
Center wavelength, λ= 940 nm Width, Δλ= 30 nm
Relevant Equations:: I put the equation in the picture below

View attachment 302561
Answer:
View attachment 302562
Hi @nao113. You haven't actually asked a question! But a few thoughts anyway….

Is Δλ the FWHM (full width at half maximum) or the half-width? Let’s assume it is the FWHM.

The coherence (not ‘coherent’) length, L, In a medium of refractive index 1 is given by:
##L = C \frac {λ^2}{Δλ}##
e.g. see https://en.wikipedia.org/wiki/Coherence_length

You have taken C=1 but typically C≈ ½. See above link.

You have been given data to 2 significant figures but your final answer has 6 significant figures - lose 1 mark in an exam’!
 
  • Like
Likes   Reactions: berkeman
Steve4Physics said:
Hi @nao113. You haven't actually asked a question! But a few thoughts anyway….

Is Δλ the FWHM (full width at half maximum) or the half-width? Let’s assume it is the FWHM.

The coherence (not ‘coherent’) length, L, In a medium of refractive index 1 is given by:
##L = C \frac {λ^2}{Δλ}##
e.g. see https://en.wikipedia.org/wiki/Coherence_length

You have taken C=1 but typically C≈ ½. See above link.

You have been given data to 2 significant figures but your final answer has 6 significant figures - lose 1 mark in an exam’!
so the answer will be 14726.7 nm?
I got the reference from my class material like this pic
 

Attachments

  • Screen Shot 2022-06-08 at 23.29.26.png
    Screen Shot 2022-06-08 at 23.29.26.png
    20.1 KB · Views: 484
  • Like
Likes   Reactions: Delta2
nao113 said:
so the answer will be 14726.7 nm?
That would still lose a mark (even if correct) due to excess significant figures!

However, from your attachment it appears that in your course, you are:
- using Δλ to mean the FWHM;
- using C=1 in the equation ##L = C \frac {λ^2}{Δλ }## (technically not correct, but never mind).

So, based on your course material, your original answer (in Post #1) would be correct if you rounded it properly.
 
  • Like
Likes   Reactions: Delta2
Steve4Physics said:
That would still lose a mark (even if correct) due to excess significant figures!

However, from your attachment it appears that in your course, you are:
- using Δλ to mean the FWHM;
- using C=1 in the equation ##L = C \frac {λ^2}{Δλ }## (technically not correct, but never mind).

So, based on your course material, your original answer (in Post #1) would be correct if you rounded it properly.
Thank you very much for your answer. Can you please tell me what the correct one is? Actually, I also tried this calculator https://www.calculatoratoz.com/en/coherence-length-of-wave-calculator/Calc-31767 and just like what you said it uses C = 1/2
 
nao113 said:
Thank you very much for your answer. Can you please tell me what the correct one is? Actually, I also tried this calculator https://www.calculatoratoz.com/en/coherence-length-of-wave-calculator/Calc-31767 and just like what you said it uses C = 1/2
Can you tell me what your Post #1 and Post #3 answers are when correctly rounded to the appropriate number of significant figures? If you are not sure how to do that, at least try! If wrong, I will help.

There is no single correct answer - it depends which formula you choose to use. If this is work to hand in, and I was the student, I would answer something like this:
Using the formula from the course (##L = \frac {λ^2}{Δλ }##) gives:​
<Give working and correctly rounded answer>​
However, it should be noted that coherence length is sometimes defined with an additional factor (typically ½), e.g. see (reference of Wiki article) giving ##L = \frac {λ^2}{2Δλ }##. This gives:​
<Give working and correctly rounded answer>​
 
  • Like
Likes   Reactions: nasu

Similar threads

  • · Replies 5 ·
Replies
5
Views
2K
  • · Replies 1 ·
Replies
1
Views
1K
  • · Replies 3 ·
Replies
3
Views
1K
  • · Replies 18 ·
Replies
18
Views
2K
Replies
1
Views
1K
  • · Replies 5 ·
Replies
5
Views
3K
  • · Replies 66 ·
3
Replies
66
Views
8K
Replies
21
Views
3K
  • · Replies 3 ·
Replies
3
Views
2K
  • · Replies 3 ·
Replies
3
Views
1K