Calculate the magnetic field from the vector potential

Click For Summary

Homework Help Overview

The discussion revolves around deriving the magnetic fields from the magnetic vector potential of a current-carrying loop, specifically focusing on the radial and axial components. The original poster expresses difficulty in deriving the axial magnetic field after successfully deriving the radial field.

Discussion Character

  • Exploratory, Assumption checking, Problem interpretation

Approaches and Questions Raised

  • The original poster attempts to derive both radial and axial magnetic fields, sharing their derivations and seeking feedback on potential errors. Participants question the independence of certain variables in the derivation process and suggest possible typographical errors in the equations presented.

Discussion Status

Participants are actively engaging with the original poster's derivations, offering insights and questioning assumptions. Some participants have identified potential typographical errors that may be affecting the results, and the original poster acknowledges these errors and plans to update their work.

Contextual Notes

The discussion includes considerations about the independence of variables in the context of the derivations, as well as the implications of any typographical errors on the overall results.

arjun_ar
Messages
3
Reaction score
4
Homework Statement
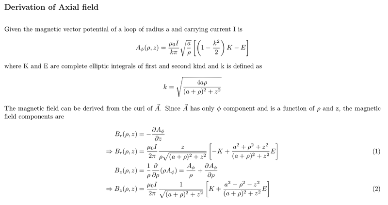
Given the magnetic vector potential of a current carrying loop in cylindrical coordinate system, derive the axial and radial magnetic fields.
Relevant Equations
Please read ahead.
I am trying to derive radial and axial magnetic fields of a current carrying loop from its magnetic vector potential. So far, I have succeeded in deriving the radial field but axial field derivation gives me trouble.
Z2N67kE.png


My derivation of radial field (eq 1) can be found here.

Can anyone point out where I went wrong in the derivation of axial field?

My derivation of axial field is given below.

EjnkUB1.png


In case the images are blurred, you can see them here and here.

On comparing, Eq.7 with Eq.2, the coefficient of E do not match.

I have done this derivation multiple times, yet arrive at the same answer.
Can anyone point me where I went wrong?
 
Last edited:
  • Like
Likes   Reactions: Delta2
Physics news on Phys.org
Hmm is it dead sure that K and E are independent of ##\rho,z##? So you can treat them as constants when taking the derivatives with respect to those variables?
 
  • Like
Likes   Reactions: arjun_ar
I think the mistake is here:

1658095752159.png


The two expressions circled in green are not equivalent.

-----------------------------------------------------------------------

Do you have typographical errors in your equations (1) and (2)? Should the denominators inside the square brackets be ##(a-\rho)^2 + z^2## instead of ##(a+\rho)^2 + z^2##?
 
  • Like
  • Informative
Likes   Reactions: arjun_ar and Delta2
Delta2 said:
Hmm is it dead sure that K and E are independent of ##\rho,z##? So you can treat them as constants when taking the derivatives with respect to those variables?
Thank you for your response.
I think they are independent of ##\rho,z##. In my derivation of radial field, I have treated them to be independent of ##z## and arrived at the exact solution.
 
  • Like
Likes   Reactions: Delta2
TSny said:
I think the mistake is here:

View attachment 304311

The two expressions circled in green are not equivalent.

-----------------------------------------------------------------------

Do you have typographical errors in your equations (1) and (2)? Should the denominators inside the square brackets be ##(a-\rho)^2 + z^2## instead of ##(a+\rho)^2 + z^2##?
Thank you! This solves my problem. I don't know how I missed it!

There is indeed a typographical error for equations (1) and (2). I will update them and provide a full derivation for axial field asap.
 
  • Like
Likes   Reactions: TSny and Delta2

Similar threads

Replies
12
Views
3K
  • · Replies 3 ·
Replies
3
Views
2K
  • · Replies 6 ·
Replies
6
Views
4K
Replies
19
Views
3K
Replies
44
Views
6K
  • · Replies 1 ·
Replies
1
Views
1K
  • · Replies 12 ·
Replies
12
Views
1K
  • · Replies 2 ·
Replies
2
Views
3K
  • · Replies 1 ·
Replies
1
Views
3K
  • · Replies 6 ·
Replies
6
Views
2K