hquang001
- 31
- 3
- Homework Statement
- A train which connects city A to C, leaves the station A at 10:06 AM. The train accelerates for 6 minutes with a constant rate before it reaches its top speed. Then it is travelling with constant speed. Then it reduces its speed with a constant rate of 600 km/h² before it reaches the station of city C (The value of the speed is 0km/h when it reaches the station C). The train should arrive at city C at 10:42 AM. The distance between A to C is 60km
a) What is the acceleration of the train in the beginning ?
b) What is the maximum speed of the train ?
- Relevant Equations
- X = Xo + Vot + 1/2 at²
V = Vo + at
V² - Vo² = 2aX
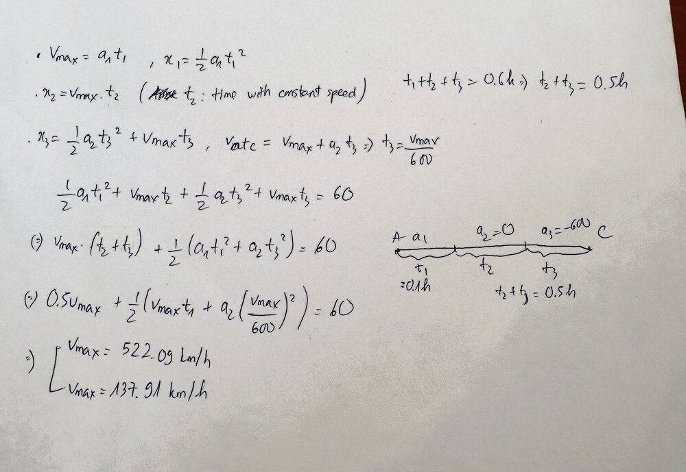
total time: t = 36 mins = 0.6h = t1 + t2
=> t2 = t - t1 = 0.6h - 0.1h = 0.5h
Vmax = a1 x t1
Vat C = Vmax + a2t2
substitute Vmax in Vat C we have : 0 = a1 x 0.1h + (-600 km/h²) x 0.5h => a1 = 3000km/h²
Vmax = a1 x t1 = 3000 x 0.1 = 300km/h
I check the result by:
x1 = ½ a1 t1² = ½ . (3000). (0.1²) = 15km
x = ½ a2t2² + vmaxt2 + x1 = ½ (-600).(0.5²) + (300).(0.5) + 15km = 90km
I don't know why the total distance when i check the result turn out to be 90km, while the questions states that AC is 60km
=> t2 = t - t1 = 0.6h - 0.1h = 0.5h
Vmax = a1 x t1
Vat C = Vmax + a2t2
substitute Vmax in Vat C we have : 0 = a1 x 0.1h + (-600 km/h²) x 0.5h => a1 = 3000km/h²
Vmax = a1 x t1 = 3000 x 0.1 = 300km/h
I check the result by:
x1 = ½ a1 t1² = ½ . (3000). (0.1²) = 15km
x = ½ a2t2² + vmaxt2 + x1 = ½ (-600).(0.5²) + (300).(0.5) + 15km = 90km
I don't know why the total distance when i check the result turn out to be 90km, while the questions states that AC is 60km
