Calculating Element Count in Disjoint Volumes Using Venn Diagram

Click For Summary

Discussion Overview

The discussion revolves around calculating the number of elements in the union of three sets (A1, A2, A3) under different conditions of overlap. Participants explore various scenarios including pairwise disjoint sets and sets with shared elements, while attempting to resolve discrepancies in their calculations.

Discussion Character

  • Mathematical reasoning
  • Debate/contested
  • Exploratory

Main Points Raised

  • One participant calculates the union of three disjoint sets as 997 + 97 + 10098.
  • In a scenario with overlaps, another participant suggests that A and B have 10 elements in common, and all three sets share 4 elements.
  • There is confusion regarding the correct interpretation of overlaps, with one participant initially misunderstanding the number of shared elements.
  • Multiple participants present different calculations for the total number of elements, leading to varying answers.
  • One participant expresses uncertainty about their calculations and seeks clarification from others.
  • Another participant points out discrepancies in the calculations presented by others, indicating that some results do not align with the expected outcomes.
  • Participants discuss the implications of receiving correct feedback from an automated system despite potential calculation errors.

Areas of Agreement / Disagreement

Participants generally agree on the calculations for the disjoint case but disagree on the overlaps and the resulting totals. The discussion remains unresolved regarding the correct interpretation of the overlaps and the final count of elements.

Contextual Notes

There are limitations in the clarity of the problem as participants struggle with the correct representation of overlaps in their Venn diagrams. Some calculations depend on assumptions about the number of shared elements, which are not consistently defined across the discussion.

Who May Find This Useful

This discussion may be useful for students or individuals interested in set theory, particularly in understanding how to calculate unions and intersections of sets with varying degrees of overlap.

Petrus
Messages
702
Reaction score
0
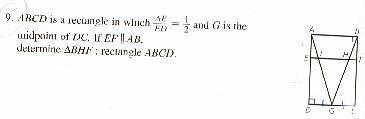
Calculate the number of elements in A1 U A2 U A3 if there are 97 elements in A1, 997 elements in A2 and 10098 elements in A3 in each of the following situations:
(a) The amounts are pairwise disjoint, i.e.
c3939de84ef91f8e6d3d9088938ee01.png
, too
ea477786ed42b36a173e5f8918b58a1.png
.

(b)
0a0762b1e265e781e6409e400e5f951.png
.

(c) there are 10 elements in common for each pair of volumes and 4 elements common to all three sets.

(a)I get answer 997+97+10098
(b)10098
(c) is the part I think I do wrong, will attach a picture of my venn diagram.
for some reason I get problem to attaché the picture but i get a1= 73, a2= 973, A3=10074 so the answer is (that is wrong I think) 73+10+10+10+4+10074+973
 
Last edited:
Physics news on Phys.org
Petrus said:
Calculate the number of elements in A1 U A2 U A3 if there are 97 elements in A1, 997 elements in A2 and 10098 elements in A3 in each of the following situations:
(a) The amounts are pairwise disjoint, i.e.
c3939de84ef91f8e6d3d9088938ee01.png
, too
ea477786ed42b36a173e5f8918b58a1.png
.

(b)
0a0762b1e265e781e6409e400e5f951.png
.

(c) there are 10 elements in common for each pair of volumes and 4 elements common to all three sets.

(a)I get answer 997+97+10098
(b)10098
(c) is the part I think I do wrong, will attach a picture of my venn diagram.
for some reason I get problem to attaché the picture but i get a1= 73, a2= 973, A3=10074 so the answer is (that is wrong I think) 73+10+10+10+4+10074+973

Hi Petrus!

Well, your (a) and (b) are right.
... so I guess we'll be waiting for your venn diagram...
 
I like Serena said:
Hi Petrus!

Well, your (a) and (b) are right.
... so I guess we'll be waiting for your venn diagram...
Hello Serena,
I can't uppload my picture but I explained how it looks like
 
Petrus said:
Hello Serena,
I can't uppload my picture but I explained how it looks like

Okay. Let me upload then.
A and B overlap with 10 elements in common.
The 3 sets together have 4 elements in common.

View attachment 706

This doesn't quite seem to match what you have...
 

Attachments

  • venn.png
    venn.png
    2.6 KB · Views: 128
I like Serena said:
Okay. Let me upload then.
A and B overlap with 10 elements in common.
The 3 sets together have 4 elements in common.

View attachment 706

This doesn't quite seem to match what you have...
Will it also be 6 on that A and C that you have not painted?
 
Petrus said:
Will it also be 6 on that A and C that you have not painted?

Well, A and C would overlap in 10 elements and 4 of those elements are shared by all three.
So yes, it will also be 6 in the remaining overlap of A and C.
 
I like Serena said:
Well, A and C would overlap in 10 elements and 4 of those elements are shared by all three.
So yes, it will also be 6 in the remaining overlap of A and C.
basically I have missunderstand the problem:( I thought it was 4 on a and b and c(that is correct) BUT its 10 on a and b... Thanks Sirena for help!:) I get the answer that is 11172

edit: after reading this again I notice how bad I explained. basically it was suposted to be 4 on a and b, when I calculated i calculated with 10 :P Unfortently I am not a verry good explainer soo I hope this explain ok:)
 
Last edited:
Petrus said:
basically I have missunderstand the problem:( I thought it was 4 on a and b and c(that is correct) BUT its 10 on a and b... Thanks Sirena for help!:) I get the answer that is 11172

Hmm, I get a different answer.
How did you find yours?
 
I like Serena said:
Hmm, I get a different answer.
How did you find yours?
I get the rest 6 I can't uppload picture so I will just type what I get
10082+987+81+6+6+6+4=11172

97-6-4-6=81
997-6-4-4=987
10098-6-4-4=10082

Hope this give you a clue :P Thanks for the help as well Serena!:)
 
  • #10
Petrus said:
997-6-4-4=987

This one doesn't seem quite right.

- - - Updated - - -

Petrus said:
10098-6-4-4=10082

And this one has the right result, but a wrong number on the left hand side.
 
  • #11
I like Serena said:
This one doesn't seem quite right.

- - - Updated - - -
And this one has the right result, but a wrong number on the left hand side.

hmm? How can I get correct?:S (its a problem that you answer through internet and if you answer correct it says 'correct' and I got correct:S?)
 
  • #12
Petrus said:
I get the rest 6 I can't uppload picture so I will just type what I get
10082+987+81+6+6+6+4=11172

97-6-4-6=81
997-6-4-4=987
10098-6-4-4=10082

Hope this give you a clue :P Thanks for the help as well Serena!:)

Petrus said:
hmm? How can I get correct?:S (its a problem that you answer through internet and if you answer correct it says 'correct' and I got correct:S?)

They should be like this:
97-6-4-6=81
997-6-4-6=981
10098-6-4-6=10082
 
  • #13
I like Serena said:
They should be like this:
97-6-4-6=81
997-6-4-6=981
10098-6-4-6=10082
That give me also correct?! Are you serious? This is bad that I can get correct from both...? I will talk to my teacher about this because its not good if I get correct from miss calculated + doing a wrong step
 
  • #14
Petrus said:
I get the rest 6 I can't uppload picture so I will just type what I get
10082+987+81+6+6+6+4=11172

97-6-4-6=81
997-6-4-4=987
10098-6-4-4=10082

Hope this give you a clue :P Thanks for the help as well Serena!:)

Petrus said:
That give me also correct?! Are you serious? This is bad that I can get correct from both...? I will talk to my teacher about this because its not good if I get correct from miss calculated + doing a wrong step

I don't understand what you mean, but your end result should be:
10082+981+81+6+6+6+4=11166
 
  • #15
I like Serena said:
I don't understand what you mean, but your end result should be:
10082+981+81+6+6+6+4=11166
What I mean is that this is a problem I get from a program. We are supposed to write the answer and it says if its correct or wrong, I get correct from my 'wrong answer' and the correct answer. Thanks to you I know what I did wrong and the correct answer...
 

Similar threads

  • · Replies 10 ·
Replies
10
Views
3K
  • · Replies 4 ·
Replies
4
Views
2K
  • · Replies 3 ·
Replies
3
Views
3K
Replies
3
Views
12K
Replies
8
Views
5K
  • · Replies 7 ·
Replies
7
Views
3K
  • · Replies 9 ·
Replies
9
Views
3K
Replies
3
Views
5K
  • · Replies 1 ·
Replies
1
Views
4K
  • · Replies 4 ·
Replies
4
Views
3K