Calculating Moment of Inertia at Point A

Click For Summary

Homework Help Overview

The discussion revolves around calculating the moment of inertia of a system involving disks and a mass impacting at a specific point. The original poster is confused about the application of the parallel axis theorem and the definition of mass in this context.

Discussion Character

  • Conceptual clarification, Assumption checking, Problem interpretation

Approaches and Questions Raised

  • Participants explore the meaning of "mass at point A" and question why the mass used in examples is the total mass of the disk rather than a localized mass. There are discussions about the setup of the problem and the interpretation of the moment of inertia in relation to the axis of rotation.

Discussion Status

The conversation is ongoing, with participants seeking clarification on the definitions and assumptions involved in the problem. Some guidance has been offered regarding the moment of inertia and the axis of rotation, but multiple interpretations are still being explored.

Contextual Notes

There is a mention of a two-body system and the need for a complete problem description, indicating that some information may be missing or unclear. The discussion also touches on the implications of the collision and the nature of the oscillation in the system.

asi123
Messages
254
Reaction score
0

Homework Statement



Hey guys.
So I got this circle (full circle), and I need to find the moment of inertia in point A.
So, of curse I use the parallel axis theorem.
The thing that got me confuse is what's m (in the pic), I mean, it should be the mass at point A, right?
so why, in the examples I saw, they choose it to be the mass of entire circle?
10x.

Homework Equations





The Attempt at a Solution

 

Attachments

  • scan0003.jpg
    scan0003.jpg
    21.1 KB · Views: 434
Physics news on Phys.org
asi123 said:
The thing that got me confuse is what's m (in the pic), I mean, it should be the mass at point A, right?
What does "mass at point A" mean? You are finding the moment of inertia about point A, which makes sense, but "mass at point A" does not.
so why, in the examples I saw, they choose it to be the mass of entire circle?
Better review the parallel axis theorem. The "m" stands for the mass of the object--the entire object.
 
Doc Al said:
What does "mass at point A" mean? You are finding the moment of inertia about point A, which makes sense, but "mass at point A" does not.

Better review the parallel axis theorem. The "m" stands for the mass of the object--the entire object.

Lets take an example (in the pic).
First of all, is this correct?:smile:
If it is, why do we take the mass that at point A (m) but in the first example, we took the mass of the entire object (M)?
10x.
 

Attachments

  • 1.jpg
    1.jpg
    7.8 KB · Views: 421
asi123 said:
Lets take an example (in the pic).
First of all, is this correct?:smile:
I cannot tell if it's correct, since I don't know what problem you're trying to solve.
If it is, why do we take the mass that at point A (m) but in the first example, we took the mass of the entire object (M)?
In this diagram it looks like you have two objects. A small one at point A and the disk itself. Are you trying to find the moment of inertia of this two-body system about some axis?

In your first diagram there was only the disk with mass M. There was no other object at point A. (At least I didn't see one and you didn't mention one.)

Please describe the complete problem that you are trying to solve.
 
Ok, here is a good example.
I translated it from Hebrew, so sorry for the typing mistakes.
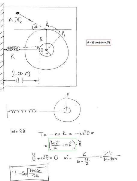
we have a disk with radius R and mass M. The disk is on a table with no friction and the axis goes through the center of the disk. Over the first disk, there's another disk with radius r with no mass. On the upper disk (r), wrapped a string with no mass, and it's connected to a spring, with a spring constant K, and the other end of the spring is connected to the wall. Now, they throw mass m with velocity V_0 (as you can see in the pic) which hits the disk at point A with an angle alpha. The hit is completely not elastic, and the mass m sticks to the disk. as a result of the collision, the system performs an harmonic motion, shown by the equation I put in the red box in the pic.
Ok, that was long :smile:, now for the question, the first part is to find the amplitude, this one I actually solved using conservation of Angular Momentum and then conservation of energy.
The second part is the problematic one, at least for me, I need to find the period time (T) of the movement. (BTW the solution there, is there solution, not mine). I think the took the axis, from the top point, the hitting point, other wise, T wouldn't be vertical to R, and the sum of momentum would be zero, right? and also the momentum of inertia, I marked in the green box, which takes us back to our subject, what does this expression means? is this the momentum of inertia at point A?
I know it's a lot of reading, and I'll really appreciate if you help me with this one.
10x guys.
 

Attachments

  • 1_122906167.jpg
    1_122906167.jpg
    17.1 KB · Views: 421
asi123 said:
I think the took the axis, from the top point, the hitting point, other wise, T wouldn't be vertical to R, and the sum of momentum would be zero, right?
The only axis of rotation in this problem is the one in the center of the disks.
and also the momentum of inertia, I marked in the green box, which takes us back to our subject, what does this expression means? is this the momentum of inertia at point A?
It's just the moment of inertia of the system about the central axis: The moment of inertia of the disk (½MR²) plus the moment of inertia of the mass (mR²).
 
But if you choose the center to be the axis, doesn't it mean that R is parallel to the force T and the cross product is zero? and that makes the momentum zero?
 
asi123 said:
But if you choose the center to be the axis, doesn't it mean that R is parallel to the force T and the cross product is zero?
Only at one point in the oscillation. (When θ = 0.)
and that makes the momentum zero?
You mean (I presume) that the torque and the resulting angular acceleration will be zero at that point, not the angular momentum. But the torque is proportional to the angle. Deviate from θ = 0 and the spring exerts a restoring torque.

The system rotates about a fixed axis, so there really isn't another reasonable choice of axis in this problem.
 
Doc Al said:
Only at one point in the oscillation. (When θ = 0.)

You mean (I presume) that the torque and the resulting angular acceleration will be zero at that point, not the angular momentum. But the torque is proportional to the angle. Deviate from θ = 0 and the spring exerts a restoring torque.

The system rotates about a fixed axis, so there really isn't another reasonable choice of axis in this problem.

Thanks.
 

Similar threads

  • · Replies 40 ·
2
Replies
40
Views
6K
Replies
2
Views
2K
Replies
11
Views
4K
  • · Replies 5 ·
Replies
5
Views
4K
  • · Replies 13 ·
Replies
13
Views
3K
  • · Replies 28 ·
Replies
28
Views
2K
Replies
25
Views
2K
Replies
3
Views
2K
  • · Replies 21 ·
Replies
21
Views
3K
  • · Replies 12 ·
Replies
12
Views
2K