Can anyone explain to me why eigenvector here is like this

  • Context: Undergrad 
  • Thread starter Thread starter sozener1
  • Start date Start date
  • Tags Tags
    Eigenvector Explain
Click For Summary

Discussion Overview

The discussion revolves around the identification and understanding of eigenvectors and eigenvalues for a given matrix A. Participants are exploring the calculations and definitions related to eigenvectors, particularly focusing on a specific eigenvalue of -6 and the corresponding eigenvector.

Discussion Character

  • Technical explanation
  • Debate/contested
  • Mathematical reasoning

Main Points Raised

  • One participant states they found the eigenvalues of matrix A to be 2, 12, and -6, and is confused about the eigenvector corresponding to -6 being [0, 0, 1].
  • Another participant questions whether the vector [0, 0, 1] was multiplied by the matrix A and whether it fits the definition of an eigenvector.
  • A different participant asserts that multiplying the vector [0, 0, 1] with the matrix results in the zero vector, suggesting it does not fit the definition of an eigenvector.
  • Concerns are raised about whether the eigenvector should be [0, 0, 0] instead of [0, 0, 1], with a discussion on the implications of the last row of the matrix being [0, 0, 0].
  • Another participant clarifies that the matrix being referenced is [A - (-6)I], and emphasizes that the kernel of this matrix should not consist solely of the zero vector, as eigenvectors cannot be the zero vector.

Areas of Agreement / Disagreement

Participants express disagreement regarding the validity of the eigenvector [0, 0, 1] and whether it meets the criteria for eigenvectors. There is no consensus on the correct eigenvector or the implications of the calculations presented.

Contextual Notes

Participants reference the process of solving the equation Ax = λx and the equivalence to finding the kernel of the matrix A - λI. There are unresolved questions about the assumptions made regarding the eigenvector calculations and the implications of the matrix structure.

sozener1
Messages
19
Reaction score
0
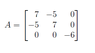
Im supposed to find the eigenvectors and eigenvalues of A

I found that eigenvalues are 2 12 and -6

then I found eigen vectors substituting -6 to lambda

and someone has told me I get 0 0 1 for eigenvector which I cannot understand why??

can anyone pleasezzzzzzzz explain why this is?
 

Attachments

  • gag.PNG
    gag.PNG
    1.6 KB · Views: 456
  • gss.PNG
    gss.PNG
    5.3 KB · Views: 489
Physics news on Phys.org
Did you multiply this vector with your matrix? What do you get?
Does this fit to the definition of an eigenvector?
 
mfb said:
Did you multiply this vector with your matrix? What do you get?
Does this fit to the definition of an eigenvector?

I get 0 0 0

it doesn't fit with the definition of eigenvectors

so does that mean it should be 0 0 0 instead of 0 0 1??

I mean when you try to calculate for v3 = [ v1 v2 v3]


since the last row of the matrix is 0 0 0 should v3 come out as 0?? couldn't v3 be any number??
 
sozener1 said:
I get 0 0 0
That's not what I get.

The matrix you showed in the second attachment is not A. It is [A - (-6)I]. Of course if you multiply this matrix times your eigenvector, you'll get the zero vector.
sozener1 said:
it doesn't fit with the definition of eigenvectors

so does that mean it should be 0 0 0 instead of 0 0 1??

I mean when you try to calculate for v3 = [ v1 v2 v3]


since the last row of the matrix is 0 0 0 should v3 come out as 0?? couldn't v3 be any number??

Assuming that your eigenvalue is λ and that x is an as-yet unknown eigenvector for λ, what you're doing is solving the equation Ax = λx for x. That's equivalent to solving the equation (A - λI)x = 0. In other words, of finding the kernel of the matrix A - λI. This should be something that you have already learned to do.

The kernel here should not consist of only the zero vector - an eigenvector cannot be the zero vector.
 

Similar threads

  • · Replies 13 ·
Replies
13
Views
4K
  • · Replies 1 ·
Replies
1
Views
2K
  • · Replies 3 ·
Replies
3
Views
4K
  • · Replies 9 ·
Replies
9
Views
2K
Replies
3
Views
3K
  • · Replies 1 ·
Replies
1
Views
3K
  • · Replies 1 ·
Replies
1
Views
2K
  • · Replies 2 ·
Replies
2
Views
1K
  • · Replies 0 ·
Replies
0
Views
9K
  • · Replies 5 ·
Replies
5
Views
6K