Can someone give me a hand with large root here

Click For Summary

Discussion Overview

The discussion revolves around the manipulation of mathematical expressions involving square roots and their simplification, particularly in the context of a physics problem. Participants explore the implications of squaring terms and the rationale behind keeping or removing square roots in equations.

Discussion Character

  • Mathematical reasoning
  • Debate/contested

Main Points Raised

  • One participant expresses confusion about the origin of a large square root in an equation and seeks clarification.
  • Another participant explains the relationship between square roots and squaring terms, providing a mathematical example to illustrate their point.
  • Some participants discuss the process of squaring the entire expression and the cancellation of the square root, questioning the necessity of retaining the square root in the final expression.
  • There is mention of setting specific variables to simplify the expression, indicating different approaches to the problem.
  • Participants note that the decision to keep or remove the square root can depend on personal preference and clarity in presentation.

Areas of Agreement / Disagreement

Participants do not reach a consensus on whether to keep the square root in the expression, indicating that multiple viewpoints exist regarding the simplification process and its implications.

Contextual Notes

The discussion includes assumptions about the positivity of variables and the conditions under which certain mathematical manipulations are valid, but these assumptions are not explicitly stated or agreed upon by all participants.

lioric
Messages
335
Reaction score
26
relativistic.jpg

i get the differentiation
the halves cancel the 2 the h bar cancels the h bar square
and to get rid of the root in the denominator the entire thing is squared
But I cannot understand where the huge square root came from at the end where I circled.
Can someone help me here
 
Physics news on Phys.org
##a = \sqrt{a^2}## for positive ##a## and ##\frac{a}{\sqrt{b}} = \frac{\sqrt{a^2}}{\sqrt{b}} = \sqrt{\frac{a^2}{b}}##
 
fresh_42 said:
##a = \sqrt{a^2}## for positive ##a## and ##\frac{a}{\sqrt{b}} = \frac{\sqrt{a^2}}{\sqrt{b}} = \sqrt{\frac{a^2}{b}}##

Ok i understand what you are saying.
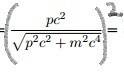
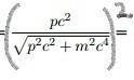
But what if we square the entire thing
relativistic 2.jpg

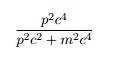
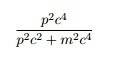
And the root and the square gets canceled like this
relativistic 3.jpg
 
lioric said:
Ok i understand what you are saying.
But what if we square the entire thing
View attachment 96288
And the root and the square gets canceled like this
View attachment 96289
Exactly. If
$$
\left( \frac{pc^2}{\sqrt{p^2c^2 + m^2 c^4}} \right)^2 = \frac{p^2c^4}{p^2c^2 + m^2 c^4}
$$
then
$$
\frac{pc^2}{\sqrt{p^2c^2 + m^2 c^4}} = \sqrt{\frac{p^2c^4}{p^2c^2 + m^2 c^4}}
$$
which is what you have in original text.
 
You don't square the entire quotient. Set ##a=pc^2## and ##b = p^2c^2+p^2m^4##.
 
DrClaude said:
Exactly. If
$$
\left( \frac{pc^2}{\sqrt{p^2c^2 + m^2 c^4}} \right)^2 = \frac{p^2c^4}{p^2c^2 + m^2 c^4}
$$
then
$$
\frac{pc^2}{\sqrt{p^2c^2 + m^2 c^4}} = \sqrt{\frac{p^2c^4}{p^2c^2 + m^2 c^4}}
$$
which is what you have in original text.

Ok if one can get rid of the huge square root why keep it.
I mean as you said in the first part, why is the solution choosing to keep the huge root if we can choose to remove it
 
lioric said:
Ok if one can get rid of the huge square root why keep it.
I mean as you said in the first part, why is the solution choosing to keep the huge root if we can choose to remove it
It is a question of preference. Some things can be easier to see if all the terms are on the same footing (e.g., all under the square root), but where to stop simplifying can be a matter of taste.
 
DrClaude said:
It is a question of preference. Some things can be easier to see if all the terms are on the same footing (e.g., all under the square root), but where to stop simplifying can be a matter of taste.
Thank you very much
I'll try it both ways once I get a hang of things
Thank you very very much
 

Similar threads

  • · Replies 2 ·
Replies
2
Views
3K
  • · Replies 8 ·
Replies
8
Views
3K
  • · Replies 5 ·
Replies
5
Views
3K
  • · Replies 10 ·
Replies
10
Views
4K
  • · Replies 1 ·
Replies
1
Views
2K
  • · Replies 2 ·
Replies
2
Views
2K
  • · Replies 6 ·
Replies
6
Views
3K
  • · Replies 7 ·
Replies
7
Views
2K
  • · Replies 16 ·
Replies
16
Views
4K
  • · Replies 5 ·
Replies
5
Views
3K