Changing Acceleration in an Electromagnetics question

Click For Summary

Homework Help Overview

The problem involves a charge -q falling towards a positively charged plane and subsequently towards a sphere with a positive charge density. The scenario requires determining the time it takes for the charge to touch the plane and then the sphere, considering the variable acceleration due to the electric fields involved.

Discussion Character

  • Exploratory, Assumption checking, Mathematical reasoning

Approaches and Questions Raised

  • Participants discuss using kinematics and energy conservation to find the time of impact with the plane and sphere. There is a focus on the non-constant acceleration due to the electric fields from both the plane and the sphere. Questions arise about the validity of assuming potential energy at certain points is zero.

Discussion Status

The discussion is ongoing, with participants exploring different methods to approach the problem. Some have suggested deriving a differential equation for motion, while others are questioning the assumptions made regarding potential energy and the effects of gravity.

Contextual Notes

Participants note the complexity introduced by the variable acceleration and the need to clarify the role of gravitational forces in the context of the problem.

Kosta1234
Messages
45
Reaction score
1

Homework Statement


Hello. I'm stuck on some question, will glad if you can give me a little hint.
The problem is this:

upload_2018-8-19_18-0-49.png


A charge -q is located at the distance 's' above a plane, which charged in a positive charge density for area unit σ > 0 .
There is a sphere with the radius R charged on a density for volume p > 0, located 3R under the plane.

the charge -q is "falling" towards the plane, touches it (It tells to ignore the friction) and keep "falling" towards the sphere.

In which time does it touches the plane, and when it reaches the center of the sphere?

Homework Equations


upload_2018-8-19_18-7-36.png

upload_2018-8-19_18-8-46.png

The Attempt at a Solution


Well at first I thought this question is very easy.
To know at how much time the charged "hitted" the plane I can use kinematics or the conservation of energy.

By kinematics method I can find the acceleration using the Electric Field of the plane ( E = σ/(2*eps))
eps * is the electric constant.
and the Electric field of the sphere that is:
0 when r < R
upload_2018-8-19_18-14-51.png
when r > R
* I've a mistake - it's without R - only 4pi*r^2
but then I've noticed that the force that given by F = qE is not constant and therefore the acceleration is not constant.

How can I know when it will hit if the acceleration is a function of the distance to the sphere?thank you.

 

Attachments

  • upload_2018-8-19_18-0-49.png
    upload_2018-8-19_18-0-49.png
    4.5 KB · Views: 719
  • upload_2018-8-19_18-7-36.png
    upload_2018-8-19_18-7-36.png
    413 bytes · Views: 370
  • upload_2018-8-19_18-8-46.png
    upload_2018-8-19_18-8-46.png
    838 bytes · Views: 411
  • upload_2018-8-19_18-14-51.png
    upload_2018-8-19_18-14-51.png
    1.1 KB · Views: 383
Last edited by a moderator:
Physics news on Phys.org
Kosta1234 said:
How can I know when it will hit if the acceleration is a function of the distance to the sphere?
You will need to derive and solve the differential equation of its motion.
Taking s to be the height at time t, can you write an expression for ##\ddot s##?

You say "falling" but I assume gravity is not to be considered.
 
Yes. I've meant that is attracting to it.

Well I tried to solve it in two ways:
The first one is using Energy Conservation:

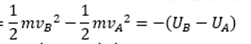
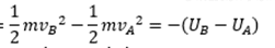
To find the velocity in the moment it hits the plane I used the following equation:
upload_2018-8-20_22-10-59.png

when using Va = 0 and Ua = 0.

and I found Ub using:
upload_2018-8-19_18-8-46-png.png


The Electric field is the summary of the two fields created by the plane and by the sphere.

and I hope I got the answer right.
When I used the 2nd Newton's law and Kinetics I've got the same answer.

Hope I got this right, the only problem is wutth Ua = 0. Can I say that the potential in this point is zero?

thank you.
 

Attachments

  • upload_2018-8-20_22-10-59.png
    upload_2018-8-20_22-10-59.png
    1.4 KB · Views: 667
  • upload_2018-8-19_18-8-46-png.png
    upload_2018-8-19_18-8-46-png.png
    838 bytes · Views: 648
Kosta1234 said:
Yes. I've meant that is attracting to it.

Well I tried to solve it in two ways:
The first one is using Energy Conservation:

To find the velocity in the moment it hits the plane I used the following equation:
View attachment 229616
when using Va = 0 and Ua = 0.

and I found Ub using: View attachment 229617

The Electric field is the summary of the two fields created by the plane and by the sphere.

and I hope I got the answer right.
When I used the 2nd Newton's law and Kinetics I've got the same answer.

Hope I got this right, the only problem is wutth Ua = 0. Can I say that the potential in this point is zero?

thank you.
I do not see how the methods you describe gave you the time taken.
 

Similar threads

  • · Replies 2 ·
Replies
2
Views
1K
Replies
16
Views
963
  • · Replies 35 ·
2
Replies
35
Views
5K
  • · Replies 18 ·
Replies
18
Views
3K
Replies
1
Views
3K
  • · Replies 11 ·
Replies
11
Views
2K
Replies
8
Views
2K
Replies
6
Views
2K
  • · Replies 22 ·
Replies
22
Views
4K