Changing Mass and Constant Force: Is it Really That Simple?

  • Thread starter Thread starter athrun200
  • Start date Start date
  • Tags Tags
    Mass Motion
Click For Summary
SUMMARY

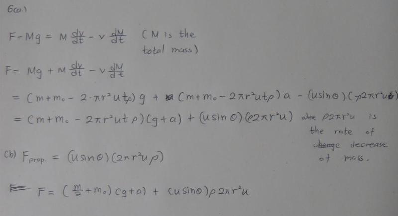
The discussion centers on the physics problem involving changing mass and constant force, specifically examining the propulsion force in a system where mass decreases over time. The equation used is F = m(dv/dt) - v(dm/dt). Participants assert that the propulsion force remains constant despite decreasing water pressure and velocity, leading to simplified calculations. The consensus is that if the ejected speed is constant, the propulsion force can be treated as constant for the purposes of the problem.

PREREQUISITES
  • Understanding of Newton's second law of motion
  • Familiarity with the concepts of mass flow rate and propulsion
  • Knowledge of calculus, specifically derivatives
  • Basic principles of fluid dynamics
NEXT STEPS
  • Study the implications of variable mass systems in classical mechanics
  • Learn about the relationship between pressure, velocity, and force in fluid dynamics
  • Explore advanced applications of the equation F = m(dv/dt) - v(dm/dt)
  • Investigate real-world examples of propulsion systems with changing mass
USEFUL FOR

Physics students, educators, and anyone interested in understanding the dynamics of propulsion systems and variable mass scenarios in mechanics.

athrun200
Messages
275
Reaction score
0

Attachments

  • 2.JPG
    2.JPG
    34 KB · Views: 618
  • 1.jpg
    1.jpg
    17 KB · Views: 675
Last edited by a moderator:
Physics news on Phys.org
Why should the propulsion force be constant? As the water level goes down the water pressure at the bottom of the bucket will be lower so the water velocity will be less?
 
Spinnor said:
Why should the propulsion force be constant? As the water level goes down the water pressure at the bottom of the bucket will be lower so the water velocity will be less?

I know the force depends on the ejected speed, but the question state that its speed is constant, that's why I say it is constant and the whole question becomes very esay.
 

Similar threads

  • · Replies 27 ·
Replies
27
Views
2K
  • · Replies 17 ·
Replies
17
Views
5K
  • · Replies 5 ·
Replies
5
Views
6K
  • · Replies 42 ·
2
Replies
42
Views
6K
  • · Replies 6 ·
Replies
6
Views
4K
  • · Replies 3 ·
Replies
3
Views
8K
  • · Replies 6 ·
Replies
6
Views
6K
  • · Replies 1 ·
Replies
1
Views
1K
  • · Replies 1 ·
Replies
1
Views
2K
  • · Replies 6 ·
Replies
6
Views
2K