Charge density for a given potential

Click For Summary

Homework Help Overview

The discussion revolves around calculating the charge density and electric field from a given electric potential expressed in spherical coordinates. The original poster presents a specific potential function and the expected form of the charge density, prompting exploration of the relationships between electric potential, electric field, and charge density.

Discussion Character

  • Exploratory, Conceptual clarification, Mathematical reasoning, Assumption checking

Approaches and Questions Raised

  • The original poster attempts to derive the electric field from the potential and subsequently calculate the divergence to find the charge density. They express uncertainty regarding the behavior at the origin and the application of divergence in spherical coordinates. Other participants question the validity of the divergence expression at r=0 and suggest alternative considerations for that point.

Discussion Status

Participants are actively discussing the mathematical treatment of the problem, particularly focusing on the divergence of the electric field and its implications at the origin. There is recognition of the need to handle the delta function appropriately, and some guidance has been offered regarding the correct application of divergence and gradient in spherical coordinates.

Contextual Notes

There is an emphasis on the need to consider the behavior of the electric field and charge density at the origin, which may not be straightforward due to the singular nature of the potential at that point. The original poster also references an external solution that introduces additional complexity to the discussion.

Silviu
Messages
612
Reaction score
11

Homework Statement


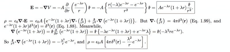
Given the electric potential ##V(r)=A\frac{e^{-\lambda r}}{r}## calculate the charge density ##\rho(r)## and the electric field ##E(r)##.
They specify the answer for charge density should be: ##\rho = \epsilon_0 A(4\pi \delta^3(r)-\lambda^2e^{-\lambda r}/r)##

Homework Equations


##E=-\nabla V##
##\nabla E = \frac{\rho}{\epsilon_o}##

The Attempt at a Solution


For the electric field I got: ##E = Ae^{-\lambda r}(1+\lambda r)/r^2##, pointing in the r direction and this is the same as their answer. Then I tried to take the divergence of E, and in spherical coordinates this would be ##\nabla E = \frac{1}{r^2}\frac{\partial r^2 E}{\partial r} = \frac{1}{r^2}\frac{\partial (Ae^{-\lambda r}(1+\lambda r))}{\partial r} ## . However this doesn't give me a delta function so I am not sure where I did something wrong.
 
Physics news on Phys.org
Your expression for the divergence is only valid for ##r\ne 0##. You need to consider what's happening at ##r=0## in another way.
 
  • Like
Likes   Reactions: BvU
vela said:
Your expression for the divergence is only valid for ##r\ne 0##. You need to consider what's happening at ##r=0## in another way.
Thank you! So I found a solution online to this problem but I am still a bit confused. I attached their solution. So i understand how they obtain the delta function but when they apply the divergence to the other term, they use ##\frac{\partial}{\partial r}##. Shouldn't they use the divergence in spherical coordinates which is ##\frac{1}{r^2}\frac{\partial (r^2 E')}{\partial r}##, with E' being the term that remained to be acted on?
 

Attachments

  • problem.png
    problem.png
    34.2 KB · Views: 1,273
Silviu said:
So i understand how they obtain the delta function but when they apply the divergence to the other term, they use ##\frac{\partial}{\partial r}##. Shouldn't they use the divergence in spherical coordinates ...?
They are using the identity
upload_2017-2-19_16-56-10.png

where ##\psi## is a scalar function.

(See https://en.wikipedia.org/wiki/Vector_calculus_identities#Product_of_a_scalar_and_a_vector)

The second term on the right does not involve a divergence. It involves a gradient.
 

Similar threads

  • · Replies 5 ·
Replies
5
Views
4K
  • · Replies 2 ·
Replies
2
Views
2K
Replies
2
Views
2K
  • · Replies 7 ·
Replies
7
Views
3K
Replies
5
Views
2K
Replies
5
Views
2K
  • · Replies 8 ·
Replies
8
Views
2K
  • · Replies 13 ·
Replies
13
Views
6K
  • · Replies 5 ·
Replies
5
Views
2K
  • · Replies 6 ·
Replies
6
Views
5K