Charge Density in Quantum well Sub-bands.

Click For Summary
SUMMARY

The discussion focuses on calculating the charge density in the first sub-band (n=1) of a quantum well of length L, using the electron wave function Ψ12(x) = 2/L*sin²(πx/L). The total electron charge density is expressed as n(x) = N1×Ψ12(x), where N1 represents the electron charge density in the first sub-band. Two results were derived for the charge density at x = L/2: result 1 (n(L/2) = N1×1) and result 2 (n(L/2) = N1×2/L). The consensus is that the charge density must be unique and cannot yield two different values at the same point.

PREREQUISITES
  • Understanding of quantum mechanics, specifically the Schrödinger equation.
  • Familiarity with wave functions and their normalization in quantum systems.
  • Knowledge of charge density calculations in quantum wells.
  • Basic mathematical skills for manipulating trigonometric functions.
NEXT STEPS
  • Study the implications of wave function normalization in quantum mechanics.
  • Learn about charge density calculations in multi-dimensional quantum wells.
  • Explore the role of boundary conditions in quantum well problems.
  • Investigate the physical significance of sub-bands in semiconductor physics.
USEFUL FOR

Students and researchers in quantum mechanics, particularly those focusing on semiconductor physics and charge density calculations in quantum wells.

kpsr
Messages
10
Reaction score
0

Homework Statement


I am trying to calculate the charge density in the first subband (n=1) of the quantum well of length L as shown in the below figure.
1_zps37mzka9k.jpg

here
4_zpslffcxddg.jpg
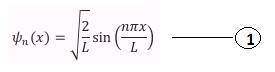
is the electron wave function for the first sub-band and its value (from relevant equation 1) is given as
Ψ12(x) = 2/L*sin2(πx/L)

from Schrödinger equation total electron charge density is given by
n(x) = N1×Ψ12(x)
where N1 is the electron charge density in the first subband(n=1).

hence for charge density at x = L/2 the above equation becomes
n(L/2) = N1×Ψ12(L/2) = N1×2/L*sin2(π/2) --result 1

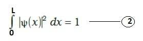
But from wave function normalization,that is the probability of finding electron between 0 and L is one(from relevant equation 2)
Ψ12(L/2) ≈1, then the total electron charge density at x=L/2 is n(L/2) = N1×1 --result 2

2. Homework Equations

wave-function for the electrons in the quantum well sub bands
2_zpshhozxa2d.jpg

wave function normalization(that is the probability of finding electron between 0 and L is one)
3_zpsvr5xo3eh.jpg


The Attempt at a Solution


When i made attempts for the solutions i got two results result 1 and result 2 as above.
Now my question is which is the correct result from these two..?
 
Physics news on Phys.org
kpsr said:
here
proxy.php?image=http%3A%2F%2Fi1064.photobucket.com%2Falbums%2Fu373%2Frriazg125%2F4_zpslffcxddg.jpg
is the electron wave function for the first sub-band and its value (from relevant equation 1) is given as
Ψ12(x) = 2/L*sin2(πx/L)

from Schrödinger equation total electron charge density is given by
n(x) = N1×Ψ12(x)
where N1 is the electron charge density in the first subband(n=1).

I think the the wave function provide you the info about the probability of finding the charge(electron) in the one dimensional well in a certain state- so the density can be calculated by multiplying the charge with modulus square of the wave function between a point x and x+dx =that should be density at x- naturally as you show the nature of wave function its modulus square will be maximum at x= L/2 but the charge will not be always found at this point - as the total probability should be unity for a normalized wave function .
and at other points between 0 and L there exists finite probability density.
so you can not have two answers at a point-density should / will be unique.
 

Similar threads

  • · Replies 21 ·
Replies
21
Views
2K
  • · Replies 4 ·
Replies
4
Views
2K
Replies
46
Views
3K
  • · Replies 12 ·
Replies
12
Views
2K
  • · Replies 2 ·
Replies
2
Views
3K
  • · Replies 0 ·
Replies
0
Views
2K
  • · Replies 11 ·
Replies
11
Views
3K
  • · Replies 1 ·
Replies
1
Views
2K
Replies
7
Views
3K