Checking Proof of Theorem 6.2.8 Part (ii)

  • Context: MHB 
  • Thread starter Thread starter Math Amateur
  • Start date Start date
  • Tags Tags
    Proof Theorem
Click For Summary
SUMMARY

The forum discussion centers on the verification of a formal proof for D&K Theorem 6.2.8 Part (ii), which asserts that if \( f \leq g \), then \( I(f) \leq I(g) \), where \( I(f) \) and \( I(g) \) represent the integrals of functions \( f \) and \( g \) over a bounded region \( B \). Participants provided constructive feedback, emphasizing the need for clarity in defining terms like "partition" and "volume," and consistency in notation between the proof and the theorem statement. Suggestions included enhancing rigor by specifying the boundedness of \( f \) and \( g \) and justifying each step in the proof for better reader comprehension.

PREREQUISITES
  • Understanding of Riemann integrals and their properties
  • Familiarity with the concepts of partitions and volumes in mathematical analysis
  • Knowledge of the notation used in integration, specifically upper and lower integrals
  • Basic principles of mathematical rigor and proof writing
NEXT STEPS
  • Study the definitions and properties of Riemann integrals in detail
  • Learn about the significance of partitions in the context of integration
  • Review the notation and concepts presented in D&K Section 6.2 for better context
  • Practice writing proofs with an emphasis on clarity and rigor
USEFUL FOR

Mathematics students, researchers in analysis, and anyone interested in understanding the rigor behind integration theorems and proof writing techniques.

Math Amateur
Gold Member
MHB
Messages
3,920
Reaction score
48
I have completed a formal proof of D&K Theorem 6.2.8 Part (ii) ... but I am unsure of whether the proof is correct ... so I would be most grateful if someone could check the proof and point out any errors or shortcomings ...

Theorem 6.2.8 reads as follows:
D&K ... Defn 6.2.7 and Theorem 6.2.8 .png

D&K ... Defn 6.2.7 and Theorem 6.2.8  ... PART II .png


Attempted Proof of Theorem 6.2.8 Part (ii)
We have to show:

[math] f \leq g \Longrightarrow I(f) \leq I(g) [/math]

where

[math] I(f) = \int_{ \mathbb{R^n} } f(x) dx = \int_{B} f(x) dx [/math]

and

[math] I(g) = \int_{ \mathbb{R^n} } g(x) dx = \int_{B} g(x) dx [/math]
Proof:

Given a partition [math] \mathscr{B} \text{ of } B [/math] we have

[math] \overline{S} (f, \mathscr{B} ) \ = \ \sum_{j \in J} \ \sup_{ x \in B_j} \ f(x) dx \text{ vol}_n (B_j) [/math]

and

[math] \overline{S} (g, \mathscr{B} ) \ = \ \sum_{j \in J} \ \sup_{ x \in B_j} \ g(x) dx \text{ vol}_n (B_j) [/math]Now, since [math] f(x) \leq g(x) \ \ for all x \in B [/math] we have

[math] \overline{S} (f, \mathscr{B} ) \ \leq \ \ \overline{S} (g, \mathscr{B} ) [/math]it follows that:

[math] \overline{ \int_{B} } f(x) dx = \text{ inf} \ \{ \overline{S} (f, \mathscr{B} ) \ \ | \ \ \mathscr{B} \text{ is a partition of } B \} \ \ \leq \ \ \text{ inf} \ \{ \overline{S} (g, \mathscr{B} ) \ \ | \ \ \mathscr{B} \text{ is a partition of } B \} \ = \ \overline{ \int_{B} } g(x) dx [/math] ... ... ... ... ... (1)Similarly ... ... [math] \underline{ \int_{B} } f(x) dx \leq \underline{ \int_{B} } g(x) dx [/math] ... ... ... ... ... (2)(1), (2) [math] \Longrightarrow \int_{B} f(x) dx \leq \int_{B} g(x) dx [/math] ... ...

... ... that is ... ...

[math] I(f) \leq I(g) [/math]
Could someone please check my proof for correctness ... and point out any errors, shortcomings and areas needing improvement ...

Peter

NOTE:

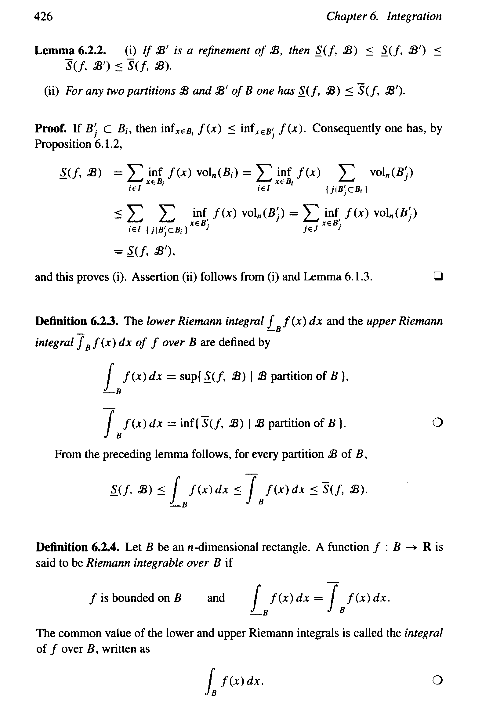
It may help readers of the above post to have access to D&K Section 6.2 so as to be able to check the way the authors present the theory and also to check notation so I am providing a scan of section 6.2 as it reads before Theorem 6.2.8 ... see below
D&K ... 1 ... Section 6.2 on Riemann Integrability ... PART 1 .png

D&K ... 2 ... Section 6.2 on Riemann Integrability ... PART 2 ... .png

D&K ... 3 ... Section 6.2 on Riemann Integrability ... PART 3 ... .png

Hope that helps ...

Peter
 
Last edited:
Physics news on Phys.org
Hi Peter

Proof looks good. Two small comments:
  1. It is true that since both $f$ and $g$ are bounded with compact support, it is possible to select a single rectangle $B$ for which $f(x) = g(x) = 0$ for $x\notin B$. I think to improve the rigor of your proof, it is worth saying something like this at the beginning of the argument because, technically speaking, $f,g\in\mathcal{R}(\mathbb{R}^{n})$ imply there are rectangles $B_{f}$ and $B_{g}$ specific to $f$ and $g$, respectively. Again, your proof is rigorous enough in my eyes, but I do think emphasizing this point would improve the precision a bit.
  2. When you say "Similarly ... ... [math] \underline{ \int_{B} } f(x) dx \leq \underline{ \int_{B} } g(x) dx [/math] ...," you are correct that an analogous argument would establish the inequality for the lower Riemann integrals. However, you do not need to actually mention this. Can you see why? By assuming $f,g\in\mathcal{R}(\mathbb{R}^{n})$, what do we know about the upper and lower Riemann integrals?
Hopefully these comments help. Let me know if the question I've posed in part 2 above is unclear.
 


Hello Peter,

Thank you for sharing your proof with us. I have read through it and I think it is a solid attempt at proving Theorem 6.2.8 Part (ii). However, there are a few areas that I think could use some improvement.

Firstly, I would suggest defining the terms "partition" and "volume" in your proof, as not all readers may be familiar with these concepts. This will make your proof more accessible to a wider audience.

Secondly, I noticed that in your proof, you use the notation \overline{\int_B} and \underline{\int_B} for the upper and lower integrals, respectively. However, in the statement of the theorem, the notation used is I(f) and I(g). It would be clearer if you use the same notation in your proof to avoid confusion.

Lastly, I would suggest providing a brief explanation or justification for each step in your proof, especially for equations (1) and (2). This will help the reader follow your thought process and understand the reasoning behind each step.

Overall, I think your proof is well-structured and easy to follow. Keep up the good work!
 

Similar threads

Replies
2
Views
3K
  • · Replies 2 ·
Replies
2
Views
3K
  • · Replies 0 ·
Replies
0
Views
2K
  • · Replies 5 ·
Replies
5
Views
4K
  • · Replies 22 ·
Replies
22
Views
3K
  • · Replies 4 ·
Replies
4
Views
3K
  • · Replies 2 ·
Replies
2
Views
2K
Replies
2
Views
2K
Replies
2
Views
2K
  • · Replies 3 ·
Replies
3
Views
2K