Heexit
- 10
- 3
- Homework Statement
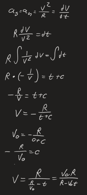
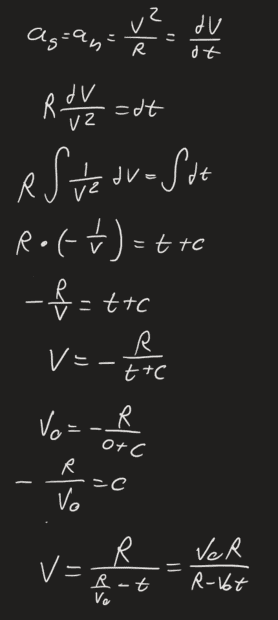
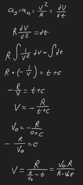
- A particle moves in a circular path of radius R in such a way that the tangential acceleration is equal to the normal acceleration. Determine the velocity as a function of time t and the initial velocity (v_0).
- Relevant Equations
- N/A
Hello Physicsforum!
This is my attempt:
First I realised:
##a_s=a_n##
Secondly I used since previus known formulas:
##a_n=\frac {v^2} {R}##
##v=v_0+a_s*t##
Although now I do not know how to continue, any suggestions would be appriciated!
Thanks for your help on beforehand
This is my attempt:
First I realised:
##a_s=a_n##
Secondly I used since previus known formulas:
##a_n=\frac {v^2} {R}##
##v=v_0+a_s*t##
Although now I do not know how to continue, any suggestions would be appriciated!
Thanks for your help on beforehand