Cobb-Douglas Production Function

  • Context: MHB 
  • Thread starter Thread starter keytharr
  • Start date Start date
  • Tags Tags
    Function
Click For Summary
SUMMARY

The discussion centers on the Cobb-Douglas production function represented by the equation Q = ALαKβ. A user posted a problem related to this function without providing any context or attempts at a solution, which led to criticism regarding the lack of engagement in problem-solving. The importance of actively participating in discussions by sharing one's thought process and difficulties was emphasized, contrasting it with another user's constructive approach to seeking help.

PREREQUISITES
  • Understanding of the Cobb-Douglas production function
  • Familiarity with mathematical notation and variables (Q, A, L, K, α, β)
  • Basic knowledge of problem-solving techniques in economics
  • Experience with engaging in academic discussions
NEXT STEPS
  • Research the applications of the Cobb-Douglas production function in economic modeling
  • Learn about the significance of parameters α and β in production theory
  • Explore methods for verifying mathematical equations in economics
  • Study effective communication strategies for academic forums
USEFUL FOR

Economics students, educators, and anyone interested in understanding production functions and enhancing their problem-solving and discussion skills in academic settings.

keytharr
Messages
1
Reaction score
0
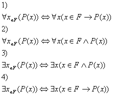
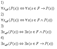
For a Cobb-Douglas production function Q = AL^α K^β, verify the following equations:
View attachment 8096
 

Attachments

  • Screen Shot 2018-05-10 at 12.32.33.png
    Screen Shot 2018-05-10 at 12.32.33.png
    11.6 KB · Views: 124
Mathematics news on Phys.org
Hello, welcome here.

Sorry for being a bit acidic today, but I don't think this is a nice way to post problems. Essentially, you a "dumping" your problem here (which seems to be from a take-home exam or a graded problem set) and then, without any further comment or attempt at a solution, expect others to solve it for you.

Yesterday I saw in passing that another new user posted a problem. It it https://mathhelpboards.com/differential-equations-17/mixing-common-drain-page-537-46-fundamentals-differential-equations-bvp-nagle-24231.html. Can you see the difference? (I am not talking about the mathematical content.) He then received help, continued to think along, and got his result verified. I think that's very nice.

So, for your case, starting with (a), what did you try and what difficulties are you facing?

Best wishes,

Sebastiaan.
 

Similar threads

  • · Replies 4 ·
Replies
4
Views
19K
  • · Replies 6 ·
Replies
6
Views
738
  • · Replies 2 ·
Replies
2
Views
1K
  • · Replies 7 ·
Replies
7
Views
2K
  • · Replies 9 ·
Replies
9
Views
2K
  • · Replies 1 ·
Replies
1
Views
2K
  • · Replies 1 ·
Replies
1
Views
4K
  • · Replies 0 ·
Replies
0
Views
2K
Replies
2
Views
5K
Replies
1
Views
2K