Coercive field in ferroelectrics perovskites

Click For Summary
SUMMARY

The coercive field (Ec) in lithium niobate (LiNbO3) crystals is defined as the reverse electric field required to nullify polarization. The orientation of spontaneous polarization (Ps) is influenced by the positions of Li+ and Nb5+ ions along the z-axis relative to the oxygen layers. The expression for Ec is derived from the displacement of these ions from their centrosymmetric positions, specifically considering the interaction energy between crystal planes. The discussion focuses on the logical derivation of Ec based on these parameters.

PREREQUISITES
  • Understanding of ferroelectric materials and their properties
  • Familiarity with lithium niobate (LiNbO3) crystal structure
  • Knowledge of polarization mechanisms in ferroelectrics
  • Basic concepts of interaction energy in crystal physics
NEXT STEPS
  • Research the mathematical modeling of coercive fields in ferroelectric materials
  • Study the role of ion displacement in the polarization of LiNbO3
  • Explore the interaction energy equations relevant to crystal planes in ferroelectrics
  • Investigate experimental methods for measuring coercive fields in lithium niobate
USEFUL FOR

Researchers in materials science, physicists studying ferroelectric properties, and engineers working with lithium niobate in electronic applications will benefit from this discussion.

hmdan
Messages
1
Reaction score
0
TL;DR
An expression of coercive field
Hi community, I am trying to find an expression of coercive field in lithium niobate crystals on the context of interaction energy, we know that the coercive field in ferroelectrics is the reverse electric field necessary to bring the polarization to zero, in other words and in the case of Lithium niobate which the orientation of the spontaneous polarization Ps is determined by the position of Li+ and Nb5+ ions along the z-axis with respect to the oxygen layers, the coercive field, Ec represents the minimum electric field required to displace Li+ and Nb5+ ions from the configuration of fig. 4.6a, to that of fig. 4.6b.
Screenshot 2024-04-13 011808.png

If we considered that the Nb ion with charge q1 is displaced from its centrosymmetric position by (a/2) - R10 while the Li ion with charge q2 is displaced from its centrosymmetric position by a distance R20 and taking in account that the interaction energy between crystal planes in LiNbO3 is given by the following equation ( a is the distance between two oxygen planes and b is the lattice constant )

Screenshot 2024-05-10 000748.png

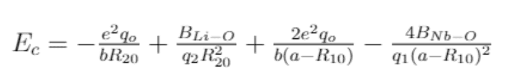
Is the following expression of Ec that I obtained logical and acceptable ? (n=1)
Screenshot 2024-05-10 001909.png

such that I followed the following steps to get the result

Screenshot 2024-05-10 004526.png
 

Attachments

  • Screenshot 2024-05-10 001909.png
    Screenshot 2024-05-10 001909.png
    7.1 KB · Views: 85

Similar threads

  • · Replies 19 ·
Replies
19
Views
19K