Conservation of momentum problem (sand-spraying locomotive)

Click For Summary

Homework Help Overview

The discussion revolves around a conservation of momentum problem involving a sand-spraying locomotive and a freight car. The scenario includes the locomotive spraying sand into the freight car, which is initially at rest, and raises questions about the conservation of momentum given the presence of external forces and the system's definition.

Discussion Character

  • Mixed

Approaches and Questions Raised

  • Participants explore different definitions of the system, questioning whether to include the locomotive's momentum in the conservation equations. Some participants express confusion over the role of external forces, particularly friction, in the context of momentum conservation.

Discussion Status

There is ongoing exploration of the implications of including or excluding various components from the system. Some participants suggest that the acceleration of the freight car is due to the impulse from the sand, while others question the necessity of external forces for both the locomotive and the freight car.

Contextual Notes

Participants note the complexity introduced by the variable mass system and the assumptions made regarding external forces, such as friction, which are not explicitly defined in the problem. The discussion reflects a range of interpretations regarding the conservation of momentum in this scenario.

AspiringPhysicist12
Messages
16
Reaction score
6
External images from the links have been added to this thread start
Homework Statement
A sand-spraying locomotive sprays sand horizontally into a freight car as shown in the sketch. The locomotive and freight car are not attached. The engineer in the locomotive maintains his speed so that the distance to the freight car is constant. The sand is transferred at a rate dm/dt = 10 kg/s with a velocity 5 m/s relative to the locomotive. The freight car starts from rest with an initial mass of 2000 kg. Find its speed after 100 s.
Relevant Equations
F_external = 0
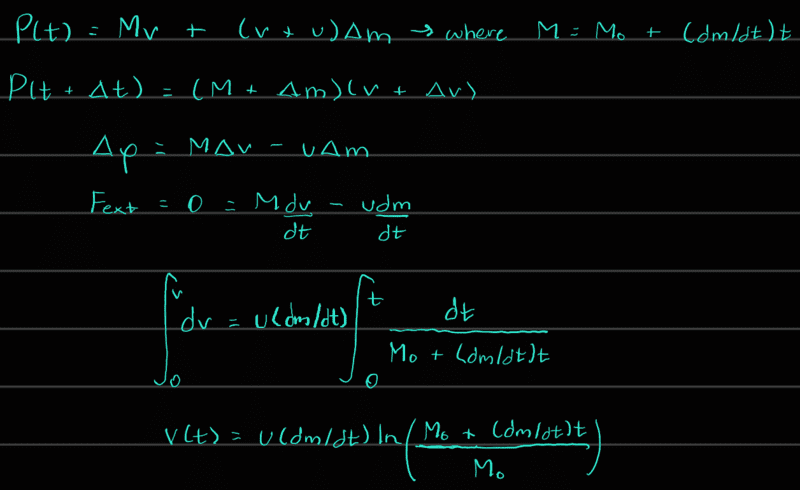
If I consider only the freight car's mass and the mass dm that's added to the freight car as part of the system, then I get this answer:

https://ibb.co/QfKSqQ5
1655067586516.png


But if I consider the freight car's mass, the mass dm, and the locomotive car as part of the system (maintaining the locomotive has velocity u relative to the freight car), then I get this answer:

https://ibb.co/RNZCbgY
1655067610704.png


I want to understand why I'm getting 2 different answers in this problem.
 
Last edited by a moderator:
Physics news on Phys.org
The speed of the locomotive is maintained by an unspecified external force, so you cannot include the locomotive's momentum in the conservation equation.
 
  • Like
Likes   Reactions: Delta2 and Orodruin
AspiringPhysicist12 said:
Homework Statement:: A sand-spraying locomotive sprays sand horizontally into a freight car as shown in the sketch. The locomotive and freight car are not attached. The engineer in the locomotive maintains his speed so that the distance to the freight car is constant. The sand is transferred at a rate dm/dt = 10 kg/s with a velocity 5 m/s relative to the locomotive. The freight car starts from rest with an initial mass of 2000 kg. Find its speed after 100 s.
Relevant Equations:: F_external = 0

If I consider only the freight car's mass and the mass dm that's added to the freight car as part of the system, then I get this answer:

https://ibb.co/QfKSqQ5
View attachment 302742
Note that you have an integration error here. You can see the answer is not dimensionally correct.
 
Thank you, but considering the ground isn't part of the system, isn't there also an external force (i.e. friction) required for the freight car to accelerate? I thought we were neglecting that for simplicity, but if that's not the reason, why would momentum be conserved in the accelerating freight car + dm system?
 
AspiringPhysicist12 said:
Thank you, but considering the ground isn't part of the system, isn't there also an external force (i.e. friction) required for the freight car to accelerate? I thought we were neglecting that for simplicity, but if that's not the reason, why would momentum be conserved in the accelerating freight car + dm system?
I think there would have to be friction on the track for the locomotive to accelerate to keep up with the freight car. But the freight car doesn't need friction to accelerate.

That being said, unless they were on different tracks, there would be friction on the track of the freight car... and some non-conservative forces. Maybe this is a bit of a "hand wavy" idealization?
 
Last edited:
  • Like
Likes   Reactions: AspiringPhysicist12
Yeah I'm really confused since they're on the same track. If an external force is required to keep the locomotive moving at speed u relative to the freight train, and if this is why we can't consider it as part of a conserved momentum system, why can we ignore the external force required to accelerate the freight train? They're not attached in the problem either, so it's not like only one of them needs to experience an external force for both to accelerate.
 
AspiringPhysicist12 said:
why can we ignore the external force required to accelerate the freight train?
There is no external force required for the freight car to accelerate. It will accelerate on a frictionless track, so long as it is getting an impulse from the sand gun attached to the locomotive. It is just the locomotive that would require friction on the track to keep up with the freight car.
 
  • Like
Likes   Reactions: Delta2 and AspiringPhysicist12
AspiringPhysicist12 said:
If an external force is required to keep the locomotive moving at speed u relative to the freight train
The speed of the locomotive relative to the freight car is 0 in this problem. Just a clarification.
 
  • Love
  • Like
Likes   Reactions: Delta2 and AspiringPhysicist12
AspiringPhysicist12 said:
Yeah I'm really confused since they're on the same track.
Yeah, it seems a bit "hand wavy", but otherwise the problem becomes much more complex.
 
  • Like
Likes   Reactions: AspiringPhysicist12
  • #10
That helps a lot, thank you!

My last question, the acceleration of the freight car comes from the momentum transferred to it by the sprayed sand, right? That's the force causing the freight car to accelerate?
 
  • Like
Likes   Reactions: Delta2 and erobz
  • #11
AspiringPhysicist12 said:
That helps a lot, thank you!

My last question, the acceleration of the freight car comes from the momentum transferred to it by the sprayed sand, right? That's the force causing the freight car to accelerate?
Whether it is an external force depends on your choice of system.
in post #1, your system appears to be the freight car+current load+next instalment of load arriving in time Δt. In that view, the acceleration of the car results from the internal forces that bring those components to the same speed.

If your system is freight car+current load then it is the external force applied by the next instalment of load arriving in time Δt.
 
  • Like
Likes   Reactions: AspiringPhysicist12, erobz and Delta2
  • #12
AspiringPhysicist12 said:
That helps a lot, thank you!

My last question, the acceleration of the freight car comes from the momentum transferred to it by the sprayed sand, right? That's the force causing the freight car to accelerate?

Yeah, it's a reaction force from the change in momentum of the sand per unit time ( at least that's how I'm looking at it in this problem ). But as @haruspex pointed out, there may be some subtlety to the interpretation. I don't believe that how you look at it affects the acceleration though, but it may be important for how you write the equations.
 
Last edited:
  • Like
Likes   Reactions: AspiringPhysicist12
  • #13
Another variable mass system that leads to weird complications...
 
  • Haha
Likes   Reactions: AspiringPhysicist12 and erobz
  • #14
AspiringPhysicist12 said:
Yeah I'm really confused since they're on the same track. If an external force is required to keep the locomotive moving at speed u relative to the freight train, and if this is why we can't consider it as part of a conserved momentum system, why can we ignore the external force required to accelerate the freight train? They're not attached in the problem either, so it's not like only one of them needs to experience an external force for both to accelerate.
The whole point of the problem is that the freight car is being accelerated by the impulse of the sand being pumped into it. It needs no external force to accelerate.

Without an external force the locomotive would recoil and accelerate in the opposite direction. The implication of the problem is that the locomotive uses its engine to prevent this recoil and, moreover, to keep pace with the accelerating freight car.

I don't see why that seems complicated.
 
  • Informative
Likes   Reactions: Delta2

Similar threads

  • · Replies 2 ·
Replies
2
Views
2K
  • · Replies 2 ·
Replies
2
Views
5K
  • · Replies 30 ·
2
Replies
30
Views
6K
  • · Replies 3 ·
Replies
3
Views
2K
  • · Replies 12 ·
Replies
12
Views
7K
  • · Replies 6 ·
Replies
6
Views
2K
  • · Replies 4 ·
Replies
4
Views
2K
Replies
2
Views
1K
  • · Replies 27 ·
Replies
27
Views
2K
  • · Replies 17 ·
Replies
17
Views
4K