Continuous Random Variable question

Click For Summary
SUMMARY

The discussion centers on a homework problem involving a continuous random variable X, representing the minutes a train arrives after 0820 hours. The probability density function (PDF) is defined as f(x) = (48/14641)(3 + 2x)²(4 - x) for the interval [(-3)/2, 4]. The constant k is determined to be 1712, and the most probable arrival time of the train is established as 10 seconds after 0822 hours. The participants also discuss the relationship between the cumulative distribution function and the PDF, highlighting a common error in polynomial expansion.

PREREQUISITES
  • Understanding of continuous random variables
  • Knowledge of probability density functions (PDFs)
  • Familiarity with polynomial expansion and integration
  • Ability to compute cumulative distribution functions (CDFs)
NEXT STEPS
  • Learn about the derivation of probability density functions from cumulative distribution functions
  • Study polynomial expansion techniques in detail
  • Explore the properties of continuous random variables in probability theory
  • Practice solving problems related to train arrival times using statistical methods
USEFUL FOR

Students studying probability and statistics, particularly those tackling problems involving continuous random variables and probability density functions.

PuzzledMe
Messages
34
Reaction score
0

Homework Statement


A train is scheduled to arrive at the station at 0820 hours every morning and the amount of minutes that the train arrives after 0820 hours is denoted by X. The probability that the train arrives more than x minutes after 0820 hours is given by

{ 1 for x ≤ [(-3)/2],
{ (8/14641) [6(x^4) - 8x³ - 117(x²) - 216x + k) for [(-3)/2] ≤ x ≤ 4,
{ 0 for x ≥ 4,

where k is a constant.

Show that,

1) k = 1712
ii) The probability density function, f, of X is f(x) = (48/14641) (3 + 2x)²(4 - x) for [(-3)/2] ≤ x ≤ 4, and sketch the graph of f.
iii) the most probable arrival time of the train is 10 seconds after 0822 hours.

Find the probability that the train arrives before 0820 hours.

Problem statement is underlined. Having problems to prove this.

Homework Equations



F(x) = ∫ f(x) dx
Question relating to cumulative distributive function. Part ii requiring to relate cumulative distributive function to probability density function.

The Attempt at a Solution



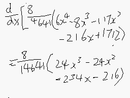
CRV_t44_q1_1.png

CRV_t44_q1_2.png



Why I'm stuck =>
(4x³ - 4x² - 39x - 36) ≠ (3 + 2x)²(4 - x)
(3 + 2x)²(4 - x) = (-4x³) - 4x² - 39x + 36

Stuck after that as the positive and negative signs seems swapped. Checked again and nothing seems to change.

Is this due to a faulty question or I'm missing out something vital?
 
Last edited:
Physics news on Phys.org
PuzzledMe said:
Why I'm stuck =>
(4x³ - 4x² - 39x - 36) ≠ (3 + 2x)²(4 - x)
(3 + 2x)²(4 - x) = (-4x³) - 4x² - 39x + 36

Stuck after that as the positive and negative signs seems swapped. Checked again and nothing seems to change.

Hi PuzzledMe! :smile:

You can check which is right by putting x = 4: that should give 0.

(4x³ - 4x² - 39x - 36) = 256 - 64 - 156 - 36 = 0
(-4x³) - 4x² - 39x + 36 = -256 -64 -156 + 36 ≠ 0.

So your expansion of (3 + 2x)²(4 - x) must be wrong!

And it is … try again! :smile:
 
Thanks tim for the tireless response, I've solved it from here, sorry about the late reply but I owe you one!
 

Similar threads

  • · Replies 17 ·
Replies
17
Views
3K
  • · Replies 6 ·
Replies
6
Views
3K
  • · Replies 1 ·
Replies
1
Views
2K
  • · Replies 6 ·
Replies
6
Views
2K
  • · Replies 12 ·
Replies
12
Views
2K
  • · Replies 11 ·
Replies
11
Views
3K
  • · Replies 7 ·
Replies
7
Views
3K
  • · Replies 7 ·
Replies
7
Views
2K
  • · Replies 5 ·
Replies
5
Views
2K
  • · Replies 3 ·
Replies
3
Views
3K