Contravariant Four-gradient ESN in Wikipedia appears wrong

Click For Summary
SUMMARY

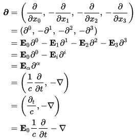
The discussion centers on the contravariant four-gradient representation in relativity as presented in Wikipedia. Participants assert that the expression E0∂0 - E1∂1 - E2∂2 - E3∂3 = Eα∂α contains incorrect negative signs. They clarify that the correct form should be Eα∂α = E0∂0 + E1∂1 + E2∂2 + E3∂3, emphasizing the proper application of Einstein summation notation without negative signs in the initial terms.

PREREQUISITES
  • Understanding of Einstein summation notation
  • Familiarity with contravariant four-vectors
  • Basic knowledge of partial derivatives in the context of relativity
  • Concept of four-gradient in physics
NEXT STEPS
  • Review the derivation of contravariant four-vectors in relativity
  • Study the application of Einstein summation notation in tensor calculus
  • Explore the implications of negative signs in vector equations
  • Investigate the four-gradient's role in general relativity
USEFUL FOR

Students of physics, particularly those studying relativity, mathematicians interested in tensor calculus, and educators seeking to clarify concepts related to four-vectors and gradients.

SpecialEd
Messages
2
Reaction score
0

Homework Statement


I am self studying relativity. In Wikipedia under the four-gradient section, the contravariant four-vector looks wrong from an Einstein summation notation point of view.

https://en.wikipedia.org/wiki/Four-vector

Homework Equations



It states:

E
00-E11-E22-E33 = Eαα

The Attempt at a Solution


As it is it looks wrong to me. Is it wrong or is it NOT ESN or something else?
 
Physics news on Phys.org
Welcome to PF!
I agree with you that it doesn't look right. For the contravariant form of the 4-gradient they have
upload_2016-10-11_22-11-0.png

I don't think there should be any negative signs in the first four lines. The last four lines look correct to me. So, I believe the Einstein summation works as follows $$\partial = E_\alpha \partial^\alpha = E_0 \partial ^0 + E_1 \partial ^1 +E_2 \partial ^2 + E_3 \partial ^3$$ where $$\partial^1 \equiv \frac{\partial}{\partial x_ {_1}} = -\frac{\partial}{\partial x^1}$$ etc.
 
  • Like
Likes   Reactions: SpecialEd
TSny said:
Welcome to PF!
I agree with you that it doesn't look right. For the contravariant form of the 4-gradient they have
View attachment 107315
I don't think there should be any negative signs in the first four lines. The last four lines look correct to me. So, I believe the Einstein summation works as follows $$\partial = E_\alpha \partial^\alpha = E_0 \partial ^0 + E_1 \partial ^1 +E_2 \partial ^2 + E_3 \partial ^3$$ where $$\partial^1 \equiv \frac{\partial}{\partial x_ {_1}} = -\frac{\partial}{\partial x^1}$$ etc.

Thanks so much for your comment and help!
 

Similar threads

Replies
5
Views
4K
  • · Replies 13 ·
Replies
13
Views
4K
  • · Replies 14 ·
Replies
14
Views
3K
  • · Replies 10 ·
Replies
10
Views
4K
  • · Replies 4 ·
Replies
4
Views
4K
Replies
2
Views
2K
  • · Replies 18 ·
Replies
18
Views
6K
  • · Replies 1 ·
Replies
1
Views
17K
  • · Replies 20 ·
Replies
20
Views
5K
  • · Replies 1 ·
Replies
1
Views
30K