Definite integral ∫(cos4x−cos4α)/(cosx−cosα)dx

Click For Summary

Discussion Overview

The discussion revolves around evaluating the definite integral \[I = \int_{0}^{\pi}\frac{\cos 4x - \cos 4\alpha }{\cos x - \cos \alpha }dx\] for some \(\alpha \in \mathbb{R}\). The focus is on the mathematical reasoning and potential solutions related to this integral.

Discussion Character

  • Mathematical reasoning

Main Points Raised

  • One participant proposes that the solution to the integral should be \(I = 4\pi\cos2\alpha\cos\alpha\), suggesting that this result arises because the constant is integrated over an interval of length \(\pi\).
  • Another participant echoes the same proposed solution, indicating agreement with the previous claim.

Areas of Agreement / Disagreement

There appears to be agreement among participants regarding the proposed solution \(I = 4\pi\cos2\alpha\cos\alpha\), but no further discussion or verification of this result has been provided.

Contextual Notes

The discussion does not clarify the assumptions or steps taken to arrive at the proposed solution, leaving some mathematical reasoning unresolved.

lfdahl
Gold Member
MHB
Messages
747
Reaction score
0
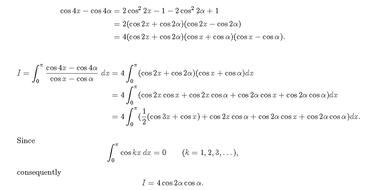
Evaluate the definite integral:\[I = \int_{0}^{\pi}\frac{\cos 4x - \cos 4\alpha }{\cos x - \cos \alpha }dx\]- for some $\alpha \in \mathbb{R}.$
 
Physics news on Phys.org

Attachments

  • Solution definite integral.PNG
    Solution definite integral.PNG
    5.7 KB · Views: 145
[sp]It looks as though the answer should be $I = 4\pi\cos2\alpha\cos\alpha$ (because the constant is integrated over an interval of length $\pi$). (Cool)
[/sp]
 
Opalg said:
[sp]It looks as though the answer should be $I = 4\pi\cos2\alpha\cos\alpha$ (because the constant is integrated over an interval of length $\pi$). (Cool)
[/sp]

Yes, indeed. A factor $\pi$ is missing in the answer. I am so sorry for this typo!
 

Similar threads

  • · Replies 3 ·
Replies
3
Views
3K
  • · Replies 29 ·
Replies
29
Views
5K
  • · Replies 2 ·
Replies
2
Views
3K
  • · Replies 1 ·
Replies
1
Views
3K
  • · Replies 17 ·
Replies
17
Views
6K
  • · Replies 4 ·
Replies
4
Views
4K
  • · Replies 9 ·
Replies
9
Views
2K
  • · Replies 8 ·
Replies
8
Views
4K
  • · Replies 5 ·
Replies
5
Views
3K
  • · Replies 5 ·
Replies
5
Views
2K