Derivation of the Christoffel symbol

Click For Summary
SUMMARY

The discussion centers on the derivation of the Christoffel symbol as presented in Zee's "Gravity" book. The participant expresses confusion regarding the reference to equation (I.4.14) and its application in solving a specific quantity. Additionally, a YouTube video demonstrating the derivation of the Einstein Field equations and the extraction of Christoffel symbols is suggested as a supplementary resource for clarification.

PREREQUISITES
  • Understanding of differential geometry concepts
  • Familiarity with Einstein Field equations
  • Knowledge of tensor calculus
  • Basic grasp of general relativity principles
NEXT STEPS
  • Study the derivation of the Christoffel symbols in detail
  • Watch the recommended YouTube video on Einstein Field equations
  • Review Zee's "Gravity" book, focusing on equation (I.4.14)
  • Explore tensor calculus applications in general relativity
USEFUL FOR

Students of physics, particularly those studying general relativity, as well as educators and researchers seeking to deepen their understanding of the Christoffel symbol and its derivation.

Whitehole
Messages
128
Reaction score
4
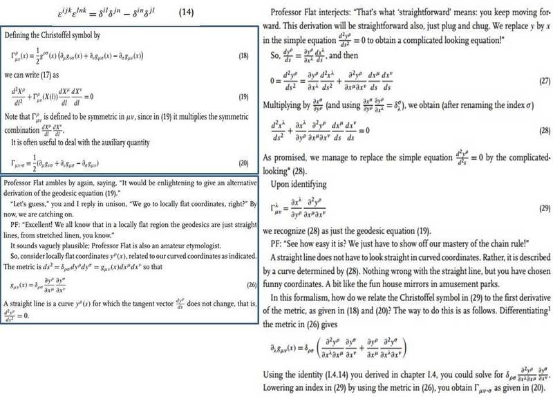
I'm reading Zee's Gravity book, can anyone help me understand the explanation on this part,

Image.jpg


I understand everything except the last part, he said to use (I.4.14) so that I could solve for the quantity shown in the image, what does he mean by that and how?
 
Physics news on Phys.org
I don't know the answer to your question, I remember seeing this video on YouTube that "derived" Einstein Field equations and did some technique to extract the Christoffel symbols out. It may help you understand what Zee has done as well:

 

Similar threads

  • · Replies 19 ·
Replies
19
Views
2K
Replies
5
Views
3K
  • · Replies 4 ·
Replies
4
Views
5K
  • · Replies 19 ·
Replies
19
Views
7K
  • · Replies 14 ·
Replies
14
Views
3K
  • · Replies 2 ·
Replies
2
Views
2K
  • · Replies 10 ·
Replies
10
Views
4K
  • · Replies 8 ·
Replies
8
Views
3K
  • · Replies 5 ·
Replies
5
Views
5K
  • · Replies 15 ·
Replies
15
Views
3K