Trying To Calculate Christoffel Symbols

Click For Summary

Discussion Overview

The discussion revolves around the calculation of Christoffel symbols for the Schwarzschild metric using a programming approach. Participants explore potential issues in the mathematical formulation and coding implementation, focusing on the correct handling of indices and tensor products.

Discussion Character

  • Exploratory
  • Technical explanation
  • Mathematical reasoning
  • Debate/contested

Main Points Raised

  • One participant, Chris, is attempting to calculate the Christoffel symbols using Python and expresses uncertainty about the mathematical approach and coding errors.
  • Another participant suggests using a debugging tool like PyCharm to step through the code, although Chris questions whether this will address the mathematical issues.
  • There is a discussion about the structure of nested loops for calculating the Christoffel symbols, with one participant providing a suggested format for the loops.
  • Participants discuss the importance of verifying the order of indices and calculations to ensure correctness in the implementation.
  • One participant emphasizes that Christoffel symbols are connection coefficients, not components of a tensor field, which may influence the understanding of the calculations.
  • There are references to tensor notation and examples that could aid in the coding process, with links provided for further reading.
  • Chris describes modifications made to the code in an attempt to resolve issues, expressing confusion about the results and questioning the correctness of the mathematical operations being performed.

Areas of Agreement / Disagreement

Participants do not reach a consensus on the source of the errors in the calculations. There are multiple competing views on whether the issues stem from coding practices or mathematical misunderstandings.

Contextual Notes

Participants mention specific coding practices, such as the use of debug prints and the structure of nested loops, but do not resolve the underlying mathematical assumptions or the correctness of the tensor operations being performed.

cgreeleybsu
Messages
29
Reaction score
1
I am trying to create a function to calculate the Christoffel Symbols of a given metric (in this case the Shwartzchild metric). Calculating the (non zero) Christoffel Symboles for the Shwartzchild connection, I am a double major in Physics and Computer Science so I decided to go the code rout. It looked pretty trivial but I appear to be getting the wrong answers and I am trying to figure out why. I am wondering if maybe you can't address the indices in the way I am, but I don't know how you would otherwise, or maybe I am taking the tensor product incorrectly?

If anyone could review what I have done and give me some pointers that would be great! I have it running in a Jupyter Notebook but I will just post the code here as a python file. The debug option will output the entire Christoffel tensor as XML so you can copy/paste it into a text editor like notepad++ and fold the different parts up.

I am uploading the python code as a .txt just rename to .py (or copy/paste into one) when downloaded please :) numpy, scipy, and sympy packages are required

NOTE 0: I am not asking for help with debugging, I am trying to figure out mathematically what I am doing wrong in the code.

NOTE 1: Actual calculation at line 77

Thank you for reading!
- ChrisP.s IntermediateConnection was just another attempt at calculating this, I haven't touched it in a while.
 

Attachments

Physics news on Phys.org
While I don't know what's wrong, I did notice your use of debug prints.

Have you looked at PyCharm? It has an excellent debugging tool that would allow to step through the code and look at values meaning you can clean out all those debug prints.

https://www.jetbrains.com/pycharm/
 
jedishrfu said:
While I don't know what's wrong, I did notice your use of debug prints.

Have you looked at PyCharm? It has an excellent debugging tool that would allow to step through the code and look at values meaning you can clean out all those debug prints.

https://www.jetbrains.com/pycharm/
Thanks jedishrfu, I might take a look, however am trying to figure out if the problem here that I am having is less a bug with the code and more a bug in the way I am trying to do my math? I don't know if a step by step debugger will help me with that 🤷‍♂️ but I may give it a try. Basically I have 4 nested for loops one for the index at the top of the Christoffel symbol (for each matrix in it), 2 for the rows and columbs of the matracies and one independent index. I iterate through them in that order so it looks like...

Christoffel( l, m, n ), where l is the current matrix, m is the row, n is the columb, and p is the independent index, thought all these numbers are moved around to index different things at different points and do not strictly represent the matrix/row/coumb, etc. throughout the calculation (the number next to each letter represents the number that the index called by that letter will be at at that time):

l0:
  • m0:
    • n0:
      • p0 p1 p2 p3
    • n1:
      • p0 p1 p2 p3
    • n2:
      • p0 p1 p2 p3
    • n3:
      • p0 p1 p2 p3
  • m1:
    • n0:
      • p0 p1 p2 p3
    • n1:
      • p0 p1 p2 p3
    • n2:
      • p0 p1 p2 p3
    • n3:
      • p0 p1 p2 p3
  • m2:
    • n0:
      • p0 p1 p2 p3
    • n1:
      • p0 p1 p2 p3
    • n2:
      • p0 p1 p2 p3
    • n3:
      • p0 p1 p2 p3
  • m3:
    • n0:
      • p0 p1 p2 p3
    • n1:
      • p0 p1 p2 p3
    • n2:
      • p0 p1 p2 p3
    • n3:
      • p0 p1 p2 p3
l1:
  • m0:
    • n0:
      • p0 p1 p2 p3
    • n1:
      • p0 p1 p2 p3
    • n2:
      • p0 p1 p2 p3
    • n3:
      • p0 p1 p2 p3
  • m1:
    • n0:
      • p0 p1 p2 p3
    • n1:
      • p0 p1 p2 p3
    • n2:
      • p0 p1 p2 p3
    • n3:
      • p0 p1 p2 p3
  • m2:
    • n0:
      • p0 p1 p2 p3
    • n1:
      • p0 p1 p2 p3
    • n2:
      • p0 p1 p2 p3
    • n3:
      • p0 p1 p2 p3
  • m3:
    • n0:
      • p0 p1 p2 p3
    • n1:
      • p0 p1 p2 p3
    • n2:
      • p0 p1 p2 p3
    • n3:
      • p0 p1 p2 p3
l2:
  • m0:
    • n0:
      • p0 p1 p2 p3
    • n1:
      • p0 p1 p2 p3
    • n2:
      • p0 p1 p2 p3
    • n3:
      • p0 p1 p2 p3
  • m1:
    • n0:
      • p0 p1 p2 p3
    • n1:
      • p0 p1 p2 p3
    • n2:
      • p0 p1 p2 p3
    • n3:
      • p0 p1 p2 p3
  • m2:
    • n0:
      • p0 p1 p2 p3
    • n1:
      • p0 p1 p2 p3
    • n2:
      • p0 p1 p2 p3
    • n3:
      • p0 p1 p2 p3
  • m3:
    • n0:
      • p0 p1 p2 p3
    • n1:
      • p0 p1 p2 p3
    • n2:
      • p0 p1 p2 p3
    • n3:
      • p0 p1 p2 p3
l3:
  • m0:
    • n0:
      • p0 p1 p2 p3
    • n1:
      • p0 p1 p2 p3
    • n2:
      • p0 p1 p2 p3
    • n3:
      • p0 p1 p2 p3
  • m1:
    • n0:
      • p0 p1 p2 p3
    • n1:
      • p0 p1 p2 p3
    • n2:
      • p0 p1 p2 p3
    • n3:
      • p0 p1 p2 p3
  • m2:
    • n0:
      • p0 p1 p2 p3
    • n1:
      • p0 p1 p2 p3
    • n2:
      • p0 p1 p2 p3
    • n3:
      • p0 p1 p2 p3
  • m3:
    • n0:
      • p0 p1 p2 p3
    • n1:
      • p0 p1 p2 p3
    • n2:
      • p0 p1 p2 p3
    • n3:
      • p0 p1 p2 p3

It seems like iterating through the indices and summing everything at all combinations of l, m, and n (after running through 0 through 3 on p) would be right and basically a quadruple sigma, but I'm getting the wrong results, I don't know if this is the source of my error or not and if I am doing the einstein summation correctly or if it is something else? 🤷‍♂️
 
Last edited:
What I would do is have the program print out the indices and calculations it's doing so that you can verify the order is correct. I assuming you understand what you are attempting to calculate. It looks like your code is doing that.

What is the actual expression mathematically that is using Einstein summation?
 
As an example, given a tensor product like:

##C^i_k = A^i_j * B^j_k##

Python:
for i in range(4):
  for k in range(4):
    for j in range(4):
        C [ i ][ k ] = C [ i ][ k ] + A [ i ][ j ] *  B [ j ] [ k ]
 
jedishrfu said:
What I would do is have the program print out the indices and calculations it's doing so that you can verify the order is correct. I assuming you understand what you are attempting to calculate. It looks like your code is doing that.

What is the actual expression mathematically that is using Einstein summation?
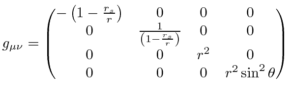
Thank you for the reply.

"g" or in the code "metric" is a 4x4 matrix with the things in front of the 'd' whatevers in this equation

metric.PNG
(source: my homework)
along the diangnal too look like this
img1109.png
(source: https://hepweb.ucsd.edu/ph110b/110b_notes/img1109.png)

Then the actual expression I am trying to calculate is this
Connection.PNG
(source: my homework)

a 4x4x4 "3d matrix"
 
cgreeleybsu said:
The debug option will output the entire Christoffel tensor
Just to interject something that is vital for understanding differential geometry: The Christoffel symbols are not the components of a tensor field. They are the connection coefficients of the Levi-Civita connection.
 
  • Like
Likes   Reactions: vanhees71 and jedishrfu
Given what you wrote you loops should follow like this:

Python:
for l in range(4):
  for m in range(4):
    for n in range(4):
      for p in range(4):
         GAMMA [ l ] [ m ] [ n ] = GAMMA [ l ] [ m ] [ n ] + ...your expression in l, m, n, and p...

Alternatively, you could replace the GAMMA with GAMOW in honor of Prof George Gamow.

** In general, I don't like to use l as a variable as its easy to confuse it with ONE. The same goes for O vs ZERO.

Also, I found this reference on tensor notation that may be of interest to you. There is an example very similar to the one I gave earlier for summing it on a computer.

https://www.continuummechanics.org/tensornotationbasic.html
 
jedishrfu said:
Given what you wrote you loops should follow like this:

Python:
for l in range(4):
  for m in range(4):
    for n in range(4):
      for p in range(4):
         GAMMA [ l ] [ m ] [ n ] = GAMMA [ l ] [ m ] [ n ] + ...your expression in l, m, n, and p...

Thats about what my code looks like.

jedishrfu said:
Alternatively, you could replace the GAMMA with GAMOW in honor of Prof George Gamow.

** In general, I don't like to use l as a variable as its easy to confuse it with ONE. The same goes for O vs ZERO.

Fair, it was just the source I was looking at at the time, used the same letters to make it easier.

jedishrfu said:
Also, I found this reference on tensor notation that may be of interest to you. There is an example very similar to the one I gave earlier for summing it on a computer.

https://www.continuummechanics.org/tensornotationbasic.html

I looked there, I tried modifying my code by changing:
Code:
results[ l ][ m ][ n ] += ( 0.5 * metric[ l ][ p ] *
                                               ( Derive( metric, m, p, symboles[ n ] ) +
                                               Derive( metric, n, p, symboles[ m ] ) -
                                               Derive( metric, m, n, symboles[ p ] ) ) )

to

Code:
results[ l ][ m ][ n ] += ( ( Derive( metric, m, p, symboles[ n ] ) +
                                               Derive( metric, n, p, symboles[ m ] ) -
                                               Derive( metric, m, n, symboles[ p ] ) ) )

and adding in

Code:
            for i in range( 4 ):
                results[ i ] = ( 0.5 * Matrix( metric ) * Matrix( results[ i ] ) ).tolist()

after everything was summed and calculated, basically calculating the matricies (adding/subtracting) then multiplying them by the plain metric using the Matrix class to avoid error, this should work in this case, ran a quick test too see if:
A*B + A*C = A( B + C )
and it seemed too. However what I got out was a bunch of garbdly gook, so it makes me question either that premise or my calculations.

I question the ladder, it would seem that
Code:
metric[ l ][ p ]
in
Code:
metric[ l ][ p ] * ( Derive( metric, m, p, symboles[ n ] ) + Derive( metric, n, p, symboles[ m ] ) - Derive( metric, m, n, symboles[ p ] ) ) )
only goes up and down one row for each matrix in the resulting tensor, I don't know if that is something that is suppose to happen or not? The results seem more correct than a straight up multiplication. I just don't know if this is a valid way to multiply a matrix/take a tensor product(?)
jedishrfu said:
As an example, given a tensor product like:

##C^i_k = A^i_j * B^j_k##

Python:
for i in range(4):
  for k in range(4):
    for j in range(4):
        C [ i ][ k ] = C [ i ][ k ] + A [ i ][ j ] *  B [ j ] [ k ]
I'm confused by this, shouldn't at least one dimension change?
 
Last edited:
  • #10
Orodruin said:
Just to interject something that is vital for understanding differential geometry: The Christoffel symbols are not the components of a tensor field. They are the connection coefficients of the Levi-Civita connection.
I realize this may be exactly what you are trying to contradict, but as I understand (or don't) right now, the components of Christoffel symbols are matrices, is this incorrect?

I assume that is what you are saying by saying they are not components of a tensor field (i.e the tensor @ X point is Y).

Is this because my understanding above is incorrect, or because Christoffel symbols are part of Riemann Tensors and the Riemann Tensors are what make up the tensor field?
 
  • #11
cgreeleybsu said:
I realize this may be exactly what you are trying to contradict, but as I understand (or don't) right now, the components of Christoffel symbols are matrices, is this incorrect?

I assume that is what you are saying by saying they are not components of a tensor field (i.e the tensor @ X point is Y).

Is this because my understanding above is incorrect, or because Christoffel symbols are part of Riemann Tensors and the Riemann Tensors are what make up the tensor field?
A tensor field in this context is not a matrix. It may be represented by an N-dimensional array of numbers or an N-dimensional array of numbers may define the components of a tensor in a particular coordinate system. However, tensor components in different systems have very particular relationships with each other. Those relationships are not satisfied by the Christoffel symbols, which therefore cannot be the components of a tensor field.

The Riemann tensor is a tensor field whose components can be expressed in terms of the Christoffel symbols. However, the Christoffel symbols then appear in a very particular combination that does satisfy the correct coordinate transformation rules. The Riemann tensor is far from the only tensor in GR.
 
  • #12
cgreeleybsu said:
I'm confused by this, shouldn't at least one dimension change?
In this example for a given i,k index we are summing over the j elements and since we need all values for C then we index over i and k too.
 
  • #13
Orodruin said:
A tensor field in this context is not a matrix.
I think I was trying to say is the Christoffel symbol is composed of matracies, in otherwords n*m*l

Orodruin said:
It may be represented by an N-dimensional array of numbers or an N-dimensional array of numbers may define the components of a tensor in a particular coordinate system. However, tensor components in different systems have very particular relationships with each other. Those relationships are not satisfied by the Christoffel symbols, which therefore cannot be the components of a tensor field.
I think you answered my third question, thank you

Orodruin said:
The Riemann tensor is a tensor field whose components can be expressed in terms of the Christoffel symbols. However, the Christoffel symbols then appear in a very particular combination that does satisfy the correct coordinate transformation rules. The Riemann tensor is far from the only tensor in GR.

Thank you, I do know its not the only tensor, I didnt know about the "appear in a very particular combination that does satisfy the correct coordinate transformation rules" thing, that's interesting.
 
  • #14
cgreeleybsu said:
I realize this may be exactly what you are trying to contradict, but as I understand (or don't) right now, the components of Christoffel symbols are matrices, is this incorrect?

I assume that is what you are saying by saying they are not components of a tensor field (i.e the tensor @ X point is Y).

Is this because my understanding above is incorrect, or because Christoffel symbols are part of Riemann Tensors and the Riemann Tensors are what make up the tensor field?
It's just important to keep in mind that under general changes of the coordinates the Christoffel symbold do not transform as tensor components do.

It's also important to keep in mind that physicists are often saying "tensor" but mean "tensor components". Of course a tensor doesn't depend on the choice of coordinates at all. It's an invariant object. That's the whole point of having the physical laws formulated as laws between tensors (or tensor fields).
 
  • Like
Likes   Reactions: cgreeleybsu, Orodruin and jedishrfu
  • #15
vanhees71 said:
It's just important to keep in mind that under general changes of the coordinates the Christoffel symbold do not transform as tensor components do.

It's also important to keep in mind that physicists are often saying "tensor" but mean "tensor components". Of course a tensor doesn't depend on the choice of coordinates at all. It's an invariant object. That's the whole point of having the physical laws formulated as laws between tensors (or tensor fields).
Thank you, and sorry I haven't replied to this question in a bit --life stuff--

I haven't figured this out yet though.
 
  • #16
Then I recommend to read the GR part of Landau&Lifshitz vol. 2. There they develop the tensor calculus (in the Ricci calculus) along with the physics in a very nice way.
 
  • #17
On the code route, I believe Maxima has some tensor routines that already do what you want. I believe it's open source, as well. The notation is a bit funky in that it doesn't match standard GR textbooks.

If you want to pursue maxima code, get the source code (google finds https://sourceforge.net/projects/maxima/files/Maxima-source/) and as far as using it goes, look at https://www.physicsforums.com/insights/solving-einsteins-field-equations-in-maxima/. I wouldn't be too surprised if the code is very ugly, and hard to follow. I haven't looked at it, that's just me being pessimistic (realistic) about coding.

There are several threads about tensor software, one of which is https://www.physicsforums.com/threads/tensor-software-for-general-relativity.693786/ which mentions some other resources.

I believe I recall seeing some questions from someone doing something similar in Python at well, apparently there's a python library for symbolic algebra manipulations, which would be quite handy. I don't recall the post or poster, though. Perhaps you already have a symbolic algebra package, and you don't need more info, though.
 
  • Like
Likes   Reactions: vanhees71

Similar threads

  • · Replies 19 ·
Replies
19
Views
2K
  • · Replies 6 ·
Replies
6
Views
7K
Replies
5
Views
3K
  • · Replies 10 ·
Replies
10
Views
4K
  • · Replies 15 ·
Replies
15
Views
3K
  • · Replies 25 ·
Replies
25
Views
3K
  • · Replies 5 ·
Replies
5
Views
5K
  • · Replies 6 ·
Replies
6
Views
3K
  • · Replies 2 ·
Replies
2
Views
2K
Replies
4
Views
2K