Deriving the Commutator of Exchange Operator and Hamiltonian

Click For Summary
SUMMARY

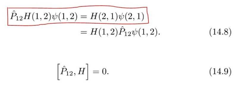
The discussion focuses on deriving the commutator of the exchange operator ##\hat{P}_{12}## and the Hamiltonian ##H(1,2)## in quantum mechanics. It establishes that applying the Hamiltonian to the wave function ##\psi(1,2)## followed by the exchange operator does not yield the same result as applying the Hamiltonian in a swapped particle configuration. The equation $$P_{12}H(1,2)\psi(12) = H(2,1)\psi(2,1)$$ is derived using the properties of the exchange operator, specifically ##P_{12}^2 = I## and ##{P_{12}}^\dagger = P_{12}##.

PREREQUISITES
  • Understanding of quantum mechanics principles, specifically operators and wave functions.
  • Familiarity with the Hamiltonian operator in quantum systems.
  • Knowledge of the properties of exchange operators in quantum mechanics.
  • Basic grasp of commutation relations and their significance in quantum theory.
NEXT STEPS
  • Study the derivation of the commutation relations in quantum mechanics.
  • Explore the role of exchange symmetry in identical particles using the exchange operator.
  • Learn about the implications of the Hamiltonian in quantum statistical mechanics.
  • Investigate the mathematical properties of operators, including adjoint and identity operators.
USEFUL FOR

Quantum physicists, graduate students in physics, and researchers focusing on quantum mechanics and particle statistics will benefit from this discussion.

Samama Fahim
Messages
52
Reaction score
4
exchange operator.JPG


In the boxed equation, how would you get the right hand side from the left hand side? We know that ##H(1,2) = H(2,1)##, but we first have to apply ##H(1,2)## to ##\psi(1,2)##, and then we would apply ##\hat{P}_{12}##; the result would not be ##H(2,1) \psi(2,1)##. ##\hat{P}_{12}## is the exchange operator and ##H(1,2)## is the hamiltonian.

Source: https://books.google.com.pk/books?i...inction as to which particle is which&f=false
 
Last edited:
Physics news on Phys.org
$$P_{12}H(1,2)\psi(12) = P_{12}H(1,2){P_{12}}^\dagger P_{12}\psi(1,2) = H(2,1)\psi(2,1)$$
using ##P_{12}^2 = I## and ##{P_{12}}^\dagger = P_{12}##.
 
  • Like
Likes   Reactions: Haborix

Similar threads

  • · Replies 13 ·
Replies
13
Views
5K
  • · Replies 9 ·
Replies
9
Views
3K
  • · Replies 1 ·
Replies
1
Views
2K
  • · Replies 2 ·
Replies
2
Views
3K