Designing a spiral with a certain angle relative to movement direction

Click For Summary

Discussion Overview

The discussion revolves around the design of a spiral path for a disk that is transitioning from an inner circular track to an outer one, specifically focusing on the angle of the spiral relative to the disk's movement direction. Participants explore mathematical and physical considerations related to the spiral's geometry and the forces involved in the disk's motion.

Discussion Character

  • Exploratory
  • Technical explanation
  • Conceptual clarification
  • Debate/contested

Main Points Raised

  • One participant expresses concerns about their calculations regarding the angle between the spiral and the disk's movement direction, suggesting that a steeper angle requires more force due to the reaction forces involved.
  • Another participant suggests researching "equiangular spiral" or related spirals, questioning whether the distances should increase geometrically or by a constant.
  • A participant notes that the spiral is self-similar, which follows from the equal angle requirement, and finds this aspect interesting.
  • Questions are raised about the driving forces behind the disk's rotation and its ability to switch tracks, with details about a pin mechanism and a wall preventing premature transitions mentioned.

Areas of Agreement / Disagreement

Participants do not reach a consensus on the best approach to the problem, and multiple competing views regarding the spiral design and the forces at play remain evident throughout the discussion.

Contextual Notes

There are unresolved concerns regarding potential singularities in the calculations and the implications of the spiral's geometry on the disk's movement. The discussion also reflects varying intuitions about the nature of the spiral and its mathematical properties.

DefinitelyAnEnjinear
Messages
10
Reaction score
6
TL;DR
Designing a spiral with a 45 degree angle relative to the movement of a disk orbiting around a point
I have a disk traveling on the inner blue track (let's say the blue part is the center of the disk).
I want to push the disk outside (as the disk is traveling in a circle) to the outer track.
The black part is the wall separating the tracks

1664044007937.png

To that end, I've made some calculations, but I have some concerns regarding my results, and am wondering if there's a better way to go about it.
I have a decent math background, but no engineering background at all.

I started out by noting the direction of movement for the disk, say it's moving counter-clockwise. If c is a point on the inner circle (for simplicity: unit circle), then the movement direction is determined as follows:
1664044216960.gif

Also, some relevant trigonometric identities:
1664044360242.gif

where Δθ is the angle between u and v.

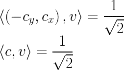
Let's say I want a 45 degree angle between my spiral and the movement direction of the disk (my very limited physics knowledge tells me a steeper angle would require more force to be applied because more of the "equal and opposite reaction" thing would be in the direction that's against the disk movement. Obviously a smaller angle would mean it takes longer to get the disk as far as I need it to go).
The sine and cosine of 45 degrees go without saying, yielding:
1664047123247.gif

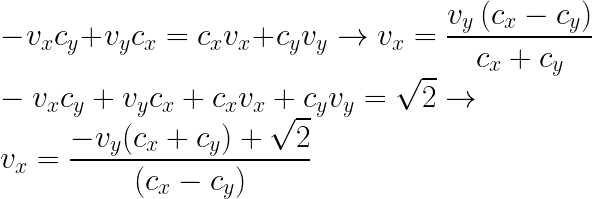
And after doing some mathTM
1664044740436.gif

1664047195662.gif

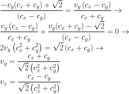
So now we have v, which... I'm not sure how to put this into words in a technically accurate way, so let's say it's the direction of the tangent to the spiral. Meaning its slope is that of the derivative. Meaning:
1664048026581.gif

is the derivative of the function describing my spiral, with α being the angle between the x-axis and the vector pointing to some point on the circle.

This is the part where I start to get worried and confused, because (1) I potentially have a division by 0 here, and (2) the point is to move the disk during rotation and I'm not sure if my reasoning still holds at this point.

With a little help from wikipedia I got to:
1664048286861.gif

Being my derivative.
So if, say, I wanted to start the transition when we're at 45 degrees... I start off on a singularity.

So, did I get anything wrong? Is there a better approach to solving this problem?
 
  • Like
Likes   Reactions: The Bill
Engineering news on Phys.org
Try researching "equiangular spiral" (or Bernoulli spiral or logarithmic spiral). Does that help?
 
  • Like
Likes   Reactions: The Bill and DefinitelyAnEnjinear
What is driving the rotation and what is forcing the disc to follow the circular trajectories and switch from one to another?
 
hutchphd said:
Try researching "equiangular spiral" (or Bernoulli spiral or logarithmic spiral). Does that help?
A brief look tells me the distances increase geometrically as opposed to an Archimedean spiral where the distances increase by a constant. Is this really what I should be looking at? my intuition tells me I need distances that increase by a constant, don't I?

Edit: I see now that the angle remains a constant according to wikipedia. counter-intuitive to me but it definitely seems like the answer.

Lnewqban said:
What is driving the rotation and what is forcing the disc to follow the circular trajectories and switch from one to another?
1664051376636.png

The disk will have a pin in it that will be able to move back and forth in a slot in a gear which will be driven.
There will be a wall preventing the disk from switching tracks until it reaches the point
I didn't want to complicate the question with details that seem unimportant.
 
  • Like
Likes   Reactions: The Bill
DefinitelyAnEnjinear said:
intuitive to me but it definitely seems like the answer.
What I find interesting (and obvious, after you see it!) is that the spiral is self-similar: If you "blow it up" uniformly it can be laid atop the smaller version exactly (with a rotation). Of course that follows from the equal angle requirement. Fun.
 
  • Like
  • Informative
Likes   Reactions: The Bill and DefinitelyAnEnjinear
DefinitelyAnEnjinear said:
...
The disk will have a pin in it that will be able to move back and forth in a slot in a gear which will be driven.
There will be a wall preventing the disk from switching tracks until it reaches the point
I didn't want to complicate the question with details that seem unimportant.
I see.
Thank you.
 

Similar threads

  • · Replies 5 ·
Replies
5
Views
3K
  • · Replies 2 ·
Replies
2
Views
2K
  • · Replies 3 ·
Replies
3
Views
1K
  • · Replies 18 ·
Replies
18
Views
3K
Replies
1
Views
1K
  • · Replies 1 ·
Replies
1
Views
3K
Replies
9
Views
2K
  • · Replies 4 ·
Replies
4
Views
2K
Replies
2
Views
3K
  • · Replies 17 ·
Replies
17
Views
4K